精英家教网 > 高中数学 > 题目详情

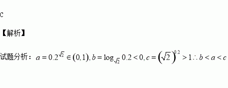
实数a=,b=,c=()0.2的大小关系正确的是( )

A.a<c<b B.a<b<c C.b<a<c D.b<c<a

练习册系列答案
相关习题

科目:高中数学 来源:2016届湖南省常德市高三上第五次月考理科数学试卷(解析版) 题型:选择题

等差数列的前n项和为,若,则的值为( )

(A)28 (B)42 (C)56 (D)14

查看答案和解析>>

科目:高中数学 来源:2015-2016学年云南省蒙自市高一10月月考数学试卷(解析版) 题型:解答题

已知,求实数的值.

查看答案和解析>>

科目:高中数学 来源:2015-2016学年江苏省南通市高二上第一阶段考试数学试卷(解析版) 题型:填空题

在圆内,过点 有n条弦的长度成等差数列,最短弦长为数列的首项a1,最长弦长为an,若公差 ,那么n的取值集合

查看答案和解析>>

科目:高中数学 来源:2015-2016学年江苏省南通市高一上第一阶段考试数学试卷(解析版) 题型:填空题

已知,则

查看答案和解析>>

科目:高中数学 来源:2015-2016学年吉林省高一上学期期末数学试卷(解析版) 题型:选择题

若角的终边过点,则( )

(A) (B) (C) (D)

查看答案和解析>>

科目:高中数学 来源:2016届云南师范大学附属中学高三月考四理科数学试卷(解析版) 题型:选择题

某班级有50名学生,现用系统抽样的方法从这50名学生中抽出10名学生,将这50名学生随机编号为1~50号,并按编号顺序平均分成10组(1~5号,6~10号,…,46~50号),若在第三组抽到的编号是13,则在第七组抽到的编号是( )

A.23 B.33 C.43 D.53

查看答案和解析>>

科目:高中数学 来源:2016届重庆市高三12月月考理科数学试卷(解析版) 题型:填空题

如图所示,一个酒杯的轴截面是一条抛物线的一部分,它的方程是:.在杯内放一个清洁球,要使清洁球能擦净酒杯的底部,则清洁球的最大半径为________.

查看答案和解析>>

科目:高中数学 来源:2016届陕西省渭南市高三上第三次月考数学试卷(解析版) 题型:选择题

(2015•北京)设α,β是两个不同的平面,m是直线且m?α,“m∥β“是“α∥β”的( )

A.充分而不必要条件 B.必要而不充分条件

C.充分必要条件 D.既不充分也不必要条件

查看答案和解析>>

同步练习册答案