精英家教网 > 高中数学 > 题目详情
已知抛物线、椭圆和双曲线都经过点M(1,2),它们在x轴上有共同焦点,椭圆和双曲线的对称轴是坐标轴,抛物线的顶点为坐标原点.
(1)求这三条曲线的方程;
(2)已知动直线l过点P(3,0),交抛物线于A,B两点,是否存在垂直于x轴的直线l′被以AP为直径的圆截得的弦长为定值?若存在,求出L′的方程;若不存在,说明理由.
【答案】分析:(1)由题意,把点M(1,2)代入抛物线的方程,求得抛物线的方程和焦点坐标,再把点M(1,2),代入椭圆和双曲线的标准方程,即可求得结果;
(2)设AP的中点为C,l'的方程为:x=a,以AP为直径的圆交l'于D,E两点,DE中点为H,根据垂径定理即可得到方程=(a-2)x1-a2+3a,探讨该式何时是定值.
解答:解:(1)设抛物线方程为y2=2px(p>0),将M(1,2)代入方程得p=2,
∴抛物线方程为:y2=4x;由题意知椭圆、双曲线的焦点为F(-1,0)1,F2(1,0),∴c=1;
对于椭圆,2a=|MF1|+|MF2|=;∴a=1+

∴b2=a2-c2=2+2
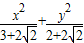
∴椭圆方程为:=1
对于双曲线,2a'=||MF1|-|MF2||=2-2
∴a'=-1
∴a'2=3-2
∴b'2=c'2-a'2=2-2
∴双曲线方程为:=1

(2)设AP的中点为C,l'的方程为:x=a,以AP为直径的圆交l'于D,E两点,DE中点为H.

∴|DC|=
|
∴|DH|2=|DC|2-|CH|2=
=(a-2)x1-a2+3a
当a=2时,|DH|2=-4+6=2为定值;
∴|DE|=2|DH|=2为定值
此时l'的方程为:x=2
点评:此题是个难题.本题考查了椭圆与双曲线抛物线的标准方程即简单的几何性质、直线与圆锥曲线的位置关系,是一道综合性的试题,考查了学生综合运用知识解决问题的能力.其中问题(2)是一个开放性问题,考查了同学们观察、推理以及创造性地分析问题、解决问题的能力,
练习册系列答案
相关习题

科目:高中数学 来源: 题型:

已知抛物线、椭圆和双曲线都经过点M(1,2),它们在x轴上有共同焦点,椭圆和双曲线的对称轴是坐标轴,抛物线的顶点为坐标原点.
(1)求这三条曲线的方程;
(2)已知动直线l过点P(3,0),交抛物线于A,B两点,是否存在垂直于x轴的直线l′被以AP为直径的圆截得的弦长为定值?若存在,求出L′的方程;若不存在,说明理由.

查看答案和解析>>

科目:高中数学 来源: 题型:

已知抛物线、椭圆和双曲线都经过点M(2,1),它们在y轴上有一个公共焦点,椭圆和双曲线的对称轴是坐标轴,抛物线的顶点为坐标原点.
(1)求这三条曲线的方程;
(2)已知动直线l过点P(0,3),交抛物线于A、B两点,是否存在垂直于y轴的直线m被以AP为直径的圆截得的弦长为定值?若存在,求出m的方程;若不存在,说明理由.

查看答案和解析>>

科目:高中数学 来源: 题型:

已知抛物线、椭圆和双曲线都经过点M(1,2),它们在x轴上有共同焦点,椭圆和双曲线的对称轴是坐标轴,抛物线的顶点为坐标原点.
(1)求这三条曲线的方程;
(2)对于抛物线上任意一点Q,点P(a,0)都满足|PQ|≥|a|,求a的取值范围.

查看答案和解析>>

科目:高中数学 来源: 题型:

.(12分)已知抛物线、椭圆和双曲线都经过点,它们在轴上有共同焦点,椭圆和双曲线的对称轴是坐标轴,抛物线的顶点为坐标原点.(Ⅰ)求这三条曲线的方程;(Ⅱ)已知动直线过点,交抛物线于两点,是否存在垂直于轴的直线被以为直径的圆截得的弦长为定值?若存在,求出的方程;若不存在,说明理由.

查看答案和解析>>

科目:高中数学 来源:2012年人教A版选修2-1 2.1曲线与方程练习卷(解析版) 题型:解答题

(12分)已知抛物线、椭圆和双曲线都经过点,它们在轴上有共同焦点,椭圆和双曲线的对称轴是坐标轴,抛物线的顶点为坐标原点.

(1)求这三条曲线的方程;

(2)已知动直线过点,交抛物线于两点,是否存在垂直于轴的直线被以为直径的圆截得的弦长为定值?若存在,求出的方程;若不存在,说明理由.

 

查看答案和解析>>

同步练习册答案