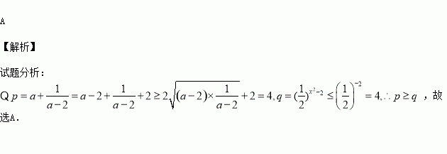
精英家教网 > 高中数学 > 题目详情

已知,则的大小关系为( )

A. B. C. D.

练习册系列答案
相关习题

科目:高中数学 来源:2014-2015学年湖北武汉外国语学校高二上学期期中考试文科数学试卷(解析版) 题型:选择题

设斜率为2的直线过抛物线的焦点,且和 轴交于点,若为坐标原点)的面积为4,则抛物线方程为( ).

A. B.

C. D.

查看答案和解析>>

科目:高中数学 来源:2016届四川省高三上学期10月段考文科数学试卷(解析版) 题型:选择题

己知函数f(x)=|x-2|+1,g(x)= kx,若方程f(x)=g(x)有两个不相等的实根,则实数k的取值范围是

A.(0,) B.(,1) C.(1,2) D.(2,+∞)

查看答案和解析>>

科目:高中数学 来源:2016届宁夏银川一中高三上学期第三次月考理科数学试卷(解析版) 题型:选择题

已知函数的周期为4,且当时, 其中.若方程恰有5个实数解,则的取值范围为 ( )

A. B. C. D.

查看答案和解析>>

科目:高中数学 来源:2016届江苏省高三上学期第二次月考理科数学试卷(解析版) 题型:填空题

命题“”的否定是

查看答案和解析>>

科目:高中数学 来源:2016届湖北武汉华中师大第一附中高三上期中考试理科数学试卷(解析版) 题型:选择题

函数的图象如图所示,为了得到的图象,可以将的图象( )

A.向右平移个单位长度

B.向右平移个单位长度

C.向左平移个单位长度

D.向左平移个单位长度

查看答案和解析>>

科目:高中数学 来源:2016届湖北省、宜昌一中高三10月联考文科数学试卷(解析版) 题型:选择题

已知等差数列满足,则=( )

A. B. C. D.

查看答案和解析>>

科目:高中数学 来源:2016届浙江省瑞安市高三上学期第一次四校联考理科数学试卷(解析版) 题型:解答题

(本题满分12分)在△ABC中,a、b、c分别是角A、B、C的对边,且

(Ⅰ)求角B的大小;

(Ⅱ)若,求△ABC的面积.

查看答案和解析>>

科目:高中数学 来源:2015-2016学年吉林省长春市高一上学期期初考试文科数学试卷(解析版) 题型:填空题

函数同时满足:①对于定义域上的任意,恒有;②对于定义域上的任意.当,恒有.则称函数 为“理想函数”,则下列三个函数中:

(1)

(2)

(3)

称为“理想函数”的有 (填序号)

查看答案和解析>>

同步练习册答案