精英家教网 > 高中数学 > 题目详情

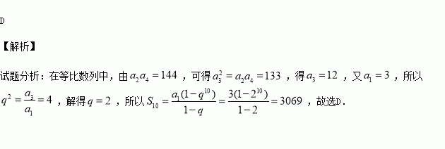
已知是由正数组成的等比数列,表示的前项的和.若,则的值是( )

A.511 B.1023 C.1533 D.3069

练习册系列答案
相关习题

科目:高中数学 来源:2015-2016学年安徽六安一中高一下周末统测十一数学试卷(解析版) 题型:选择题

垂直,则的值等于( )

A. B. C. D.

查看答案和解析>>

科目:高中数学 来源:2015-2016学年北大附中河南分校高二普通上期末文数学卷(解析版) 题型:选择题

如图,已知点及抛物线上的动点,则的最小值是( )

A. B. C. D.

查看答案和解析>>

科目:高中数学 来源:2015-2016学年重庆十一中高一下期中理科数学试卷(解析版) 题型:填空题

在数列中,已知,则_____.

查看答案和解析>>

科目:高中数学 来源:2015-2016学年重庆十一中高一下期中理科数学试卷(解析版) 题型:选择题

已知内角的对边分别是,若,b=3,,则的面积为( )

A. B. C. D.

查看答案和解析>>

科目:高中数学 来源:2015-2016学年河南新乡一中高二重点下七次周练文数学卷(解析版) 题型:解答题

已知函数f(x),当x,y∈R时,恒有f(x+y)=f(x)+f(y).当x>0时,f(x)>0.

(1)求证:f(x)是奇函数;

(2)若,试求f(x)在区间[﹣2,6]上的最值;

(3)是否存在m,使对于任意x∈[1,2]恒成立?若存在,求出实数m的取值范围;若不存在,说明理由.

查看答案和解析>>

科目:高中数学 来源:2015-2016学年河南新乡一中高二重点下七次周练文数学卷(解析版) 题型:填空题

在极坐标系中,设曲线相交于点,则=___________.

查看答案和解析>>

科目:高中数学 来源:2015-2016学年河南新乡一中高二重点下七次周练理数学卷(解析版) 题型:解答题

设函数,不等式的解集为(-1,2).

(1)求的值;

(2)解不等式

查看答案和解析>>

科目:高中数学 来源:2015-2016学年河南新乡一中高二普通下七次周练理数学卷(解析版) 题型:选择题

若实数满足:,则x+y+10的取值范围是( )

A.[5,15] B.[10,15] C.[-15,10] D.[-15,35]

查看答案和解析>>

同步练习册答案