精英家教网 > 高中数学 > 题目详情

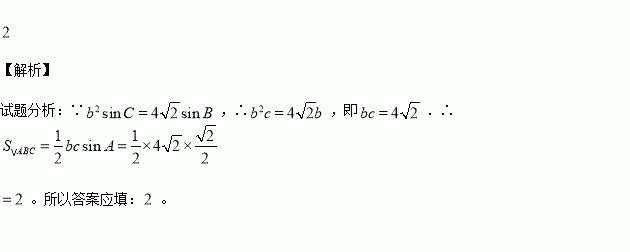
中,,则的面积为

练习册系列答案
相关习题

科目:高中数学 来源:2016年内蒙古包头市高三学业水平测试与评估(二)数学理试卷(解析版) 题型:填空题

函数的部分图象如图所示,则此函数的解析式为

查看答案和解析>>

科目:高中数学 来源:2015-2016学年广东省等校高一下期末数学试卷(解析版) 题型:解答题

已知向量>0),函数的图像的一个对称中心与和它相邻的一条对称轴之间的距离为

(I)求函数

(II)在△ABC中,角A、B、C所的对边分别是a、b、c,若,求

查看答案和解析>>

科目:高中数学 来源:2015-2016学年广东省等校高一下期末数学试卷(解析版) 题型:选择题

中,角所对边长分别为,若,则的最小值为( )

A. B. C. D.

查看答案和解析>>

科目:高中数学 来源:2016届湖南省湘西自治州高三第二次质量检测数学(文)试卷(解析版) 题型:解答题

在四棱锥中,平面,底面是正方形,且分别是棱的中点。

(1)求证:平面

(2)求证:平面

查看答案和解析>>

科目:高中数学 来源:2016届湖南省湘西自治州高三第二次质量检测数学(文)试卷(解析版) 题型:选择题

,则的最大值为( )

A.1 B.2 C.3 D.4

查看答案和解析>>

科目:高中数学 来源:2016届湖南省湘西自治州高三第二次质量检测数学(文)试卷(解析版) 题型:选择题

复数的实部与虚部之和为( )

A.-3 B.-11

C.6 D.4

查看答案和解析>>

科目:高中数学 来源:2016届湖南省湘西自治州高三第二次质量检测数学(理)试卷(解析版) 题型:选择题

,则的最大值为( )

A.1 B.2

C.3 D.4

查看答案和解析>>

科目:高中数学 来源:2015-2016学年成都外国语学校高一下学期期中考试数学(理)试卷(解析版) 题型:选择题

设等差数列满足:,公差.若当且仅当时,数列的前项和取得最大值,则首项的取值范围是()

A.

B.

C.

D.

查看答案和解析>>

同步练习册答案