精英家教网 > 高中数学 > 题目详情

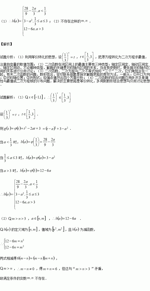
已知函数,函数的最小值为

(1)求

(2)是否存在实数同时满足以下条件:

②当的定义域为时,值域为.若存在,求出的值;若不存在,说明理由

练习册系列答案
相关习题

科目:高中数学 来源:2016届浙江省绍兴市高三上学期期中理科数学试卷(解析版) 题型:解答题

已知椭圆的离心率为,其长轴长与短轴长的和等于6.

(1)求椭圆的方程;

(2)如图,设椭圆的上、下顶点分别为是椭圆上异于的任意一点,直线分别交轴于点,若直线与过点的圆相切,切点为,证明:线段的长为定值.

查看答案和解析>>

科目:高中数学 来源:2015-2016学年山西省高二上期中文科数学试卷(解析版) 题型:填空题

过原点且倾斜角为的直线被圆所截得弦长为__________.

查看答案和解析>>

科目:高中数学 来源:2015-2016学年江苏省高一创新班上期中数学试卷(解析版) 题型:填空题

若函数为偶函数,则

查看答案和解析>>

科目:高中数学 来源:2015-2016学年江苏省高一10月月考数学试卷(解析版) 题型:填空题

,则=__________________.

查看答案和解析>>

科目:高中数学 来源:2015-2016学年吉林省高一上期中理科数学试卷(解析版) 题型:选择题

已知集合,则的关系是( )

A. B. C. D.

查看答案和解析>>

科目:高中数学 来源:2015-2016学年湖北孝感高中高二上学期期中理科数学试卷(解析版) 题型:解答题

的取值范围为[0,10],给出如图所示程序框图,输入一个数

(1)请写出程序框图所表示的函数表达式;

(2)求输出的)的概率;(3)求输出的的概率.

查看答案和解析>>

科目:高中数学 来源:2015-2016学年安徽省蚌埠市高一上学期期中数学试卷(解析版) 题型:填空题

已知幂函数,且图象不过原点,则

查看答案和解析>>

科目:高中数学 来源:2015-2016学年浙江慈溪中学高一1-3班上期中数学卷(解析版) 题型:填空题

设全集,集合,则

查看答案和解析>>

同步练习册答案