精英家教网 > 高中数学 > 题目详情
已知数列{an}中,a1=1,且点(an,an+1)在函数f(x)=x+2的图象上(n∈N*
(I)证明数列{an}是等差数列,并求数列{an}的通项公式;
(II)设数列{bn}满足,求数列{bn}的通项公式及前n项和公式Sn
【答案】分析:(I)将(an,an+1)代入f(x)=x+2,利用等差数列的定义即可证明数列{an}是等差数列,可求其通项公式;
(II)利用等比数列的定义证明数列{bn}是等比数列,从而可求其通项公式及前n项和公式Sn
解答:解:(I)∵点(an,an+1)在f(x)=x+2的图象上,
∴an+1=an+2,
∴an+1-an=2,
∴{an}是以a1=1为,2为公差的等差数列,
∴an=n+2
(II)bn=22n-2=4n-1,,b1=1
∴{bn}是以b1=1为,4为公比的等比数列,
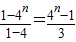
Sn=
点评:本题考查等差数列与等比数列的通项公式与求和公式的简单应用,解决的方法是公式法,是容易题.
练习册系列答案
相关习题

科目:高中数学 来源: 题型:

已知数列{an}中,a1=1,an+1-an=
1
3n+1
(n∈N*)
,则
lim
n→∞
an
=
 

查看答案和解析>>

科目:高中数学 来源: 题型:

已知数列{an}中,a1=1,an+1=
an
1+2an
,则{an}的通项公式an=
1
2n-1
1
2n-1

查看答案和解析>>

科目:高中数学 来源: 题型:

已知数列{an}中,a1=1,a1+2a2+3a3+…+nan=
n+1
2
an+1(n∈N*)

(1)求数列{an}的通项公式;
(2)求数列{
2n
an
}
的前n项和Tn

查看答案和解析>>

科目:高中数学 来源: 题型:

已知数列{an}中,a1=
1
2
Sn
为数列的前n项和,且Sn
1
an
的一个等比中项为n(n∈N*
),则
lim
n→∞
Sn
=
1
1

查看答案和解析>>

科目:高中数学 来源: 题型:

已知数列{an}中,a1=1,2nan+1=(n+1)an,则数列{an}的通项公式为(  )
A、
n
2n
B、
n
2n-1
C、
n
2n-1
D、
n+1
2n

查看答案和解析>>

同步练习册答案