精英家教网 > 高中数学 > 题目详情

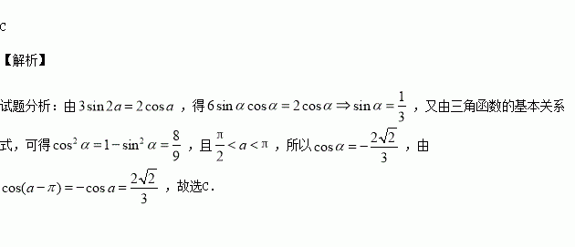
已知,则等于( )

A. B. C. D.

练习册系列答案
相关习题

科目:高中数学 来源:2015-2016学年湖南衡阳县四中高一下期期末数学试卷(解析版) 题型:选择题

将函数的图像上所有的点向右平行移动个单位长度,再把所得各点的横坐标伸长到原来的2倍(纵坐标不变),所得图像的函数解析式是 ( )

A. B.

C. D.

查看答案和解析>>

科目:高中数学 来源:2017届河南息县第一高级中学高三上阶段测三数学(文)试卷(解析版) 题型:填空题

已知,且,则向量的夹角为

查看答案和解析>>

科目:高中数学 来源:2017届河北衡水中学高三上学期一调考试数学(文)试卷(解析版) 题型:解答题

如图,在一条海防警戒线上的点处各有一个水声监测点,两点到的距离分别为20千米和50千米,某时刻,收到发自静止目标的一个声波信号,8秒后同时接收到该声波信号,已知声波在水中的传播速度是1.5千米/秒.

(1)设的距离为千米,用表示的距离,并求的值;

(2)求到海防警戒线的距离.

查看答案和解析>>

科目:高中数学 来源:2017届河北衡水中学高三上学期一调考试数学(文)试卷(解析版) 题型:填空题

已知函数,且,则

值为___________.

查看答案和解析>>

科目:高中数学 来源:2017届河北衡水中学高三上学期一调考试数学(文)试卷(解析版) 题型:选择题

下列函数为奇函数的是( )

A. B. C. D.

查看答案和解析>>

科目:高中数学 来源:2017届河北衡水中学高三上学期一调考试数学(理)试卷(解析版) 题型:解答题

已知函数).

(1)若函数存在极大值和极小值,求的取值范围;

(2)设分别为的极大值和极小值,若存在实数,使得,求的取值范围.

查看答案和解析>>

科目:高中数学 来源:2017届河北衡水中学高三上学期一调考试数学(理)试卷(解析版) 题型:选择题

如图,网格纸上小正方形的边长为,粗线或虚线画出某几何体的三视图,该几何体的体积为( )

A. B. C. D.

查看答案和解析>>

科目:高中数学 来源:2015-2016学年辽宁瓦房店市高二下期末数学(理)试卷(解析版) 题型:选择题

若执行下面的程序框图,则输出的值是 ( )

A.7 B.6 C.5 D. 4

查看答案和解析>>

同步练习册答案