精英家教网 > 高中数学 > 题目详情

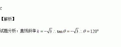
直线的倾斜角是( )

A. B. C. D.

练习册系列答案
相关习题

科目:高中数学 来源:2016届四川省成都市高三11月段测三理科数学试卷(解析版) 题型:选择题

已知正项数列为等比数列,且a4是2a2与3a3的等差中项,若a2 =2,则该数列的前5项的和为( )

A. B.31 C. D.以上都不正确

查看答案和解析>>

科目:高中数学 来源:2015-2016学年贵州遵义航天高中高二上学期期中数学试卷(解析版) 题型:填空题

在直三棱柱中,BC=3,,则此三棱柱外接球的表面积为

查看答案和解析>>

科目:高中数学 来源:2015-2016学年安徽师大附中高二上学期期中理科数学试卷(解析版) 题型:选择题

抛物线y=4x2的焦点坐标是( )

A.(0,1) B.(1,0) C. D.

查看答案和解析>>

科目:高中数学 来源:2015-2016学年四川省实验学校高二上学期期中理科数学试卷(解析版) 题型:选择题

二面角是棱上的两点,分别在半平面内,,则的长为

A.1 B. C. D.

查看答案和解析>>

科目:高中数学 来源:2015-2016学年陕西省西安市高二上学期期中考试理科数学试卷(解析版) 题型:选择题

在等差数列{an}中,已知a3+a8>0,且S9<0,则S1、S2、…S9中最小的是( )

A.S4 B.S5 C.S6 D.S7

查看答案和解析>>

科目:高中数学 来源:2015-2016学年辽宁省葫芦岛市高一上学期期中考试数学试卷(解析版) 题型:解答题

已知A={x|﹣1<x<4},,C={x|x<2a}

求:(1)A∪B

(2)A⊆C求a的取值范围.

查看答案和解析>>

科目:高中数学 来源:2015-2016学年江西铅山一中 、横峰中学高二上学期期中理科数学卷(解析版) 题型:选择题

不等式x(x+2)≥0的解集为( )

A.{x|x≥0或x≤﹣2}

B.{x|﹣2≤x≤0}

C.{x|0≤x≤2}

D.{x|x≤0或x≥2}

查看答案和解析>>

科目:高中数学 来源:2015-2016学年吉林省扶余市高二上学期期中考试文科数学试卷(解析版) 题型:选择题

已知正数x、y满足,则的最小值是( )

A.18 B.16 C.8 D.10

查看答案和解析>>

同步练习册答案