精英家教网 > 高中数学 > 题目详情

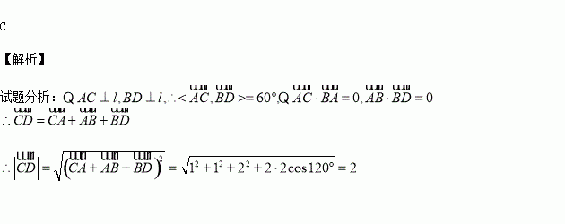
二面角是棱上的两点,分别在半平面内,,则的长为

A.1 B. C. D.

练习册系列答案
相关习题

科目:高中数学 来源:2016届四川省成都市高三11月段测三理科数学试卷(解析版) 题型:解答题

己知函数f(x)=ln(x+l)-x

(1)求f(x)的单调区间;

(2)若k∈Z,且f(x-l)+x>k(1一)对任意x>l恒成立,求k的最大值;

(3)对于在(0,1)中的任意一个常数a,是否存在正数x0,使得成立?请说明理由.

查看答案和解析>>

科目:高中数学 来源:2015-2016学年江苏省高一上学期期中数学试卷(解析版) 题型:解答题

已知tanα是关于x的方程的一个实根,且α是第三象限角.

(1)求的值;

(2)求的值.

查看答案和解析>>

科目:高中数学 来源:2015-2016学年安徽师大附中高二上学期期中理科数学试卷(解析版) 题型:填空题

在平面直角坐标系中,动点P(x,y)到两条坐标轴的距离之和等于它到点(1,1)的距离,记点P的轨迹为曲线W,给出下列四个结论:

①曲线W关于原点对称;

②曲线W关于直线y=x对称;

③曲线W与x轴非负半轴,y轴非负半轴围成的封闭图形的面积小于

④曲线W上的点到原点距离的最小值为

其中,所有正确结论的序号是________.

查看答案和解析>>

科目:高中数学 来源:2015-2016学年四川省实验学校高二上学期期中理科数学试卷(解析版) 题型:解答题

的距离是点的距离的倍.

(1)求点的轨迹方程;

(2)点与点关于点对称,点,求的最大值和最小值.

(3)若过的直线从左向右依次交第(2)问中的轨迹于不同两点,判断的取值范围并证明.

查看答案和解析>>

科目:高中数学 来源:2015-2016学年四川省实验学校高二上学期期中理科数学试卷(解析版) 题型:选择题

直线的倾斜角是( )

A. B. C. D.

查看答案和解析>>

科目:高中数学 来源:2015-2016学年陕西省西安市高二上学期期中考试理科数学试卷(解析版) 题型:选择题

是由正数组成的等比数列,公比q=2,且a1a2a3…a30=,则a3a6a9…a30=( )

A.210 B.215 C.216 D.220

查看答案和解析>>

科目:高中数学 来源:2015-2016学年江西铅山一中 、横峰中学高二上学期期中理科数学卷(解析版) 题型:选择题

某单位有840名职工,现采用系统抽样方法,抽取42人做问卷调查,将840人按1,2,…,840随机编号,则抽取的42人中,编号落入区间[481,720]的人数为( )

A.11 B.12 C.13 D.14

查看答案和解析>>

科目:高中数学 来源:2015-2016学年吉林省扶余市高一上学期期中考试数学试卷(解析版) 题型:选择题

若偶函数上为增函数,且有最大值0,则它在

A.是减函数,有最小值0 B.是减函数,有最大值0

C.是增函数,有最小值0 D.是增函数,有最大值0

查看答案和解析>>

同步练习册答案