精英家教网 > 高中数学 > 题目详情
(中应用举例)设P是曲线y=上一点,点P关于直线y=x的对称点为Q,点O为坐标原点,则=( )
A.0
B.1
C.2
D.3
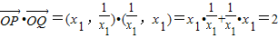
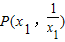
【答案】分析:设P点横坐标X1,则纵坐标,Q与P关于y=x对称则Q坐标为;代入所求式子进行向量坐标运算即可.
解答:解:设,则

故答案为C
点评:本题考查点的对称问题以及向量数量积的坐标运算较简单
练习册系列答案
相关习题

科目:高中数学 来源: 题型:

(中应用举例)设P是曲线y=
1
x
上一点,点P关于直线y=x的对称点为Q,点O为坐标原点,则
OP
OQ
=(  )
A、0B、1C、2D、3

查看答案和解析>>

科目:高中数学 来源:不详 题型:单选题

(中应用举例)设P是曲线y=
1
x
上一点,点P关于直线y=x的对称点为Q,点O为坐标原点,则
OP
OQ
=(  )
A.0B.1C.2D.3

查看答案和解析>>

科目:高中数学 来源:《2.4-2.5 数量积、应用举例》2013年同步练习(解析版) 题型:选择题

(中应用举例)设P是曲线y=上一点,点P关于直线y=x的对称点为Q,点O为坐标原点,则=( )
A.0
B.1
C.2
D.3

查看答案和解析>>

科目:高中数学 来源:2010年广东省广州七中高三考前热身训练数学试卷(文科)(解析版) 题型:选择题

(中应用举例)设P是曲线y=上一点,点P关于直线y=x的对称点为Q,点O为坐标原点,则=( )
A.0
B.1
C.2
D.3

查看答案和解析>>

科目:高中数学 来源:2010年高考数学考前模拟试卷(文科)(解析版) 题型:选择题

(中应用举例)设P是曲线y=上一点,点P关于直线y=x的对称点为Q,点O为坐标原点,则=( )
A.0
B.1
C.2
D.3

查看答案和解析>>

同步练习册答案