等比数列{an}中,已知a1=2,a4=16
(I)求数列{an}的通项公式;
(Ⅱ)若a3,a5分别为等差数列{bn}的第3项和第5项,试求数列{bn}的通项公式及前n项和Sn.
【答案】
分析:(I)由a
1=2,a
4=16直接求出公比q再代入等比数列的通项公式即可.
(Ⅱ)利用题中条件求出b
3=8,b
5=32,又由数列{b
n}是等差数列求出

.再代入求出通项公式及前n项和S
n.
解答:解:(I)设{a
n}的公比为q
由已知得16=2q
3,解得q=2
∴

=2
n(Ⅱ)由(I)得a
3=8,a
5=32,则b
3=8,b
5=32
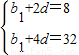
设{b
n}的公差为d,则有

解得

.
从而b
n=-16+12(n-1)=12n-28
所以数列{b
n}的前n项和

.
点评:本小题主要考查等差数列、等比数列等基础知识,考查运算求解能力,考查归化与转化思想.