精英家教网 > 高中数学 > 题目详情

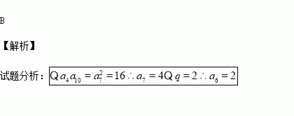
公比为2的等比数列{an}的各项都是正数,且a4a10=16,则a6=( )

A.1 B.2 C.4 D.8

练习册系列答案
相关习题

科目:高中数学 来源:2015-2016学年江西省宜春市高二下第一次月考理科数学试卷(解析版) 题型:选择题

在正方体上有一只蚂蚁,从A点出发沿正方体的棱前进,要它走进的第条棱与第条棱是异面的,则这只蚂蚁走过第2016条棱之后的位置是在( )

A.点处 B.在点A处 C.在点D处 D.在点B处

查看答案和解析>>

科目:高中数学 来源:2015-2016学年江西省高二下学期第一次月考理科数学试卷(解析版) 题型:填空题

函数的导函数为

查看答案和解析>>

科目:高中数学 来源:2015-2016学年湖北省孝感六校联盟高一下学期期中考试文科数学卷(解析版) 题型:解答题

已知不等式的解集是

(1)若,求的取值范围;

(2)若,求不等式的解集.

查看答案和解析>>

科目:高中数学 来源:2015-2016学年湖北省孝感六校联盟高一下学期期中考试文科数学卷(解析版) 题型:选择题

若不等式的解集为空集,则实数的取值范围是( )

A. B. C. D.

查看答案和解析>>

科目:高中数学 来源:2015-2016学年湖北省孝感六校联盟高一下学期期中考试文科数学卷(解析版) 题型:选择题

已知集合=( )

A. B. C. D.

查看答案和解析>>

科目:高中数学 来源:2015-2016学年上海市高一下学期第一次月考数学试卷(解析版) 题型:选择题

,若,则的值为( )

A. B. C. D.

查看答案和解析>>

科目:高中数学 来源:2015-2016学年江西省高二3月月考理科数学试卷(解析版) 题型:解答题

已知数列满足,试比较的大小并证明

查看答案和解析>>

科目:高中数学 来源:2015-2016学年江西省赣州市十三县高二下学期期中文科数学试卷(解析版) 题型:选择题

复数的虚部是 ( )

A. B. C. D.

查看答案和解析>>

同步练习册答案