精英家教网 > 高中数学 > 题目详情

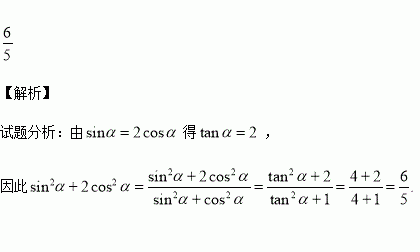
,则的值为________.

练习册系列答案
相关习题

科目:高中数学 来源:2016届贵州市高三上第四次月考理科数学试卷(解析版) 题型:选择题

一条光线从点射出,经轴反射后与圆相切,则反射光线所在直线的斜率为( )

A. B. C. D.

查看答案和解析>>

科目:高中数学 来源:2016届浙江省嘉兴市高三上学期能力测试文科数学试卷(解析版) 题型:选择题

若函数的图象如图所示,则( )

A. B.

C. D.

查看答案和解析>>

科目:高中数学 来源:2016届江西省新余市高三第四次模拟考理科数学试卷(解析版) 题型:填空题

已知是双曲线的左、右焦点,若点关于直线的对称点也在双曲线上,则该双曲线的离心率为_______________.

查看答案和解析>>

科目:高中数学 来源:2016届江苏省高三上学期期中考试数学试卷(解析版) 题型:解答题

中,,D是边BC上一点,

(1)求的值;

(2)求的值

查看答案和解析>>

科目:高中数学 来源:2016届湖南省高三上第三次月考理数学试卷(解析版) 题型:选择题

如果数列满足,且(≥2),则这个数列的第

10项等于 ( )

A. B. C. D.

查看答案和解析>>

科目:高中数学 来源:2016届黑龙江省哈尔滨市高三12月月考文科数学试卷(解析版) 题型:解答题

如图,已知棱柱的底面是菱形,且面ABCD,为棱的中点,为线段的中点.

(1)求证:平面平面

(2)求三棱锥的体积.

查看答案和解析>>

科目:高中数学 来源:2016届河南省郑州市高三上学期联考文科数学试卷(解析版) 题型:选择题

已知,则的最小值是( )

A.4 B.3 C.2 D.1

查看答案和解析>>

科目:高中数学 来源:2015-2016学年广东省汕头市高一上学期期中考试数学试卷(解析版) 题型:填空题

已知定义域为R的偶函数在[0,+上是增函数,且,则不等式的解集是

查看答案和解析>>

同步练习册答案