精英家教网 > 高中数学 > 题目详情

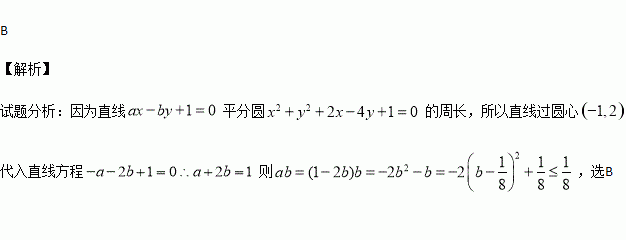
如果直线平分圆的周长,那么ab的取值范围是( )

A. B. C. D.

练习册系列答案
相关习题

科目:高中数学 来源:2015-2016学年福建厦门双十中学高二上期中文科数学试卷(解析版) 题型:解答题

(本小题满分12分)

已知函数,且不等式的解集为

(1)求函数的解析式;

(2)c为何值时,关于的不等式无解.

查看答案和解析>>

科目:高中数学 来源:2016届重庆市高三上学期期中文科数学试卷(解析版) 题型:选择题

是定义域在上的偶函数,对,都有且当时,,若在区间内关于的方程至少有两个不同的实数根,至多有3个不同的实数根,则的取值范围是( )

A. B. C. D.

查看答案和解析>>

科目:高中数学 来源:2015-2016学年河北省高一上学期期中数学试卷(解析版) 题型:选择题

下列根式、分数指数幂的互化中,正确的是

A.

B.

C.

D.

查看答案和解析>>

科目:高中数学 来源:2015-2016年河北省高二上学期期中数学试卷(解析版) 题型:解答题

已知椭圆C:的左焦点为,点,直线DF的斜率为.

(1)求椭圆的离心率;

(2)设过点F的直线交椭圆于A,B两点,过点P作与直线AB的倾斜角互补的直线交椭圆于M,N两点,问是否为定值,若是求出此定值,若不是说明理由.

查看答案和解析>>

科目:高中数学 来源:2016届浙江省高三期中理科数学试卷(解析版) 题型:解答题

(本题满分14分)已知数列满足:

(Ⅰ)求的值;

(Ⅱ)设,试求数列的通项公式;

(Ⅲ)对于任意的正整数n,试讨论并证明的大小关系.

查看答案和解析>>

科目:高中数学 来源:2016届江西省高三上学期期中文科数学试卷(解析版) 题型:填空题

是定义在上的偶函数,对,都有,且当时, .若在区间内关于的方程恰有3个不同实根,则的取值范围是( )

A. B. C. D.

【答案】A

【解析】

试题分析:由,得,所以函数是周期为4的函数.又是偶函数,且时,,所以时,.方程内有三个根,即函数与函数内有三个交点,作出函数图像如图所示,则两个图像在内恰有三个交点的条件是,解得,故选B.

考点:1、指数函数与对数函数的图象与性质;2、函数的零点与方程根的关系;3、不等式的解法.

【方法点睛】方程的根为对应函数的零点,而函数的零点通常还可转化为两个函数的交点,因此求解函数的零点个数通常有两种方法:(1)直接法,即求解出所有的零点;(2)数形结合法,即转化为原函数的图象与轴的交点个数或分解为两个函数相等,进而判断两个函数图象的交点个数,此法往往更实用.而函数函数的图象要求正确,特别是关键点的作法.

【题型】选择题
【适用】较难
【标题】【百强校】2016届江西省临川一中高三上学期期中文科数学试卷(带解析)
【关键字标签】
【结束】
 

,若,则=

查看答案和解析>>

科目:高中数学 来源:2016届吉林省高三上学期二模文科数学试卷(解析版) 题型:选择题

如图,函数的图象在P点处的切线方程是,若点P的横坐标是5,则( )

A. B. C. D.

查看答案和解析>>

科目:高中数学 来源:2015-2016学年江苏启东中学高二上学期期中文科数学试卷(解析版) 题型:填空题

下列命题:

其中所有真命题的序号是

查看答案和解析>>

同步练习册答案