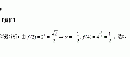
精英家教网 > 高中数学 > 题目详情

已知幂函数的图象经过点,则的值等于( )

A.16 B. C.2 D.

练习册系列答案
相关习题

科目:高中数学 来源:2015-2016学年广东湛江一中高一下期末数学(理)试卷(解析版) 题型:选择题

若x是三角形的最小内角,则函数y=sinx+cosx﹣sinxcosx的最小值是( )

A. B. C.1 D.

查看答案和解析>>

科目:高中数学 来源:2017届山东省高三第一次诊断数学(理)试卷(解析版) 题型:填空题

二项式展开式中,项的系数为

查看答案和解析>>

科目:高中数学 来源:2017届江西九江地区高三七校联考数学(文)试卷(解析版) 题型:解答题

若函数,在点处的斜率为

(1)求实数的值;

(2)求函数在区间上的最大值.

查看答案和解析>>

科目:高中数学 来源:2017届江西九江地区高三七校联考数学(文)试卷(解析版) 题型:选择题

已知是奇函数,当时,,当时,函数的最小值为1,则( )

A.-2 B.2 C. D.1

查看答案和解析>>

科目:高中数学 来源:2017届江西九江地区高三七校联考数学(文)试卷(解析版) 题型:选择题

设集合,则( )

A. B. C. D.

查看答案和解析>>

科目:高中数学 来源:2017届江西九江地区高三七校联考数学(理)试卷(解析版) 题型:填空题

给出下列四个命题:

①函数的图象过定点

②已知函数是定义在上的偶函数,当时,,则的解析式为

③函数的图象可由函数图象向右平移一个单位得到;

④函数图象上的点到点距离的最小值是

其中所有正确命题的序号是_________.

查看答案和解析>>

科目:高中数学 来源:2017届江西鹰潭一中高三上学期月考二数学(理)试卷(解析版) 题型:解答题

已知幂函数)的图象关于轴对称,且在上是减函数,求满足的取值范围.

查看答案和解析>>

科目:高中数学 来源:2017届湖南石门县一中高三8月单元测数学(理)试卷(解析版) 题型:选择题

,则的定义域为( )

A. B. C. D.

查看答案和解析>>

同步练习册答案