精英家教网 > 高中数学 > 题目详情
若a>b>0,下列各式中恒成立的是( )
A.ac2>bc2
B.
C.aa>bb
D.
【答案】分析:本题利用取特殊值法解决,对于在条件:“a>b>0”下,通过取一些特殊值来否定不恒成立的不等式即可.
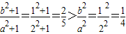
解答:解:取a=2,b=1 得:
A:当c=0时ac2=bc2故A错;
B:取a=2,b= 得:,故B错;
C:取a=0.1,b=0,01得aa=0.10.1<bb=0.01,故C错;
D:取a=2,b= 得:
故选D.
点评:本题主要考查了不等式比较大小,解答的方法是取特殊值法,对于要说明一个命题为假,只要举一个反例即可.
练习册系列答案
相关习题

科目:高中数学 来源: 题型:

适当增加条件,使下列各命题成立
(1)若ac2>bc2则a>b 且 c≠0..
(2)若a>b则ac<bc 且c<0..
(3)若a>b,c>d则ac>bd 且a>b>0,c>d>0..
(4)若a≥b,则
1
a
1
b
且ab>0..
(5)若a<b,则
a
b
(n=2,3)
且0<a<b.
(6)若a>b,则a-c>b-d 且c<d.

查看答案和解析>>

科目:高中数学 来源:高二数学 教学与测试 题型:013

若a>b>0,下列各不等式中恒成立的是

[  ]

A.
B.
C.
D.

查看答案和解析>>

科目:高中数学 来源: 题型:013

若a>b>0,下列各不等式中恒成立的是

[  ]

A.   B.

  C.   D.

查看答案和解析>>

科目:高中数学 来源:天骄之路中学系列 读想用 高二数学(上) 题型:022

判断下列各命题的真假,并说明理由.

(1)若a>b,则

(2)若a>b,c>d,则ac>bd;

(3)若a>b>0>c>d,则ad<bc;

(4)若a>b>0,则an>bn(n∈Z).

查看答案和解析>>

科目:高中数学 来源: 题型:013

若实数ab满足0ab,且ab=1,则下列各数中最大的是

[  ]

A

B

C2ab

Da

查看答案和解析>>

同步练习册答案