精英家教网 > 高中数学 > 题目详情

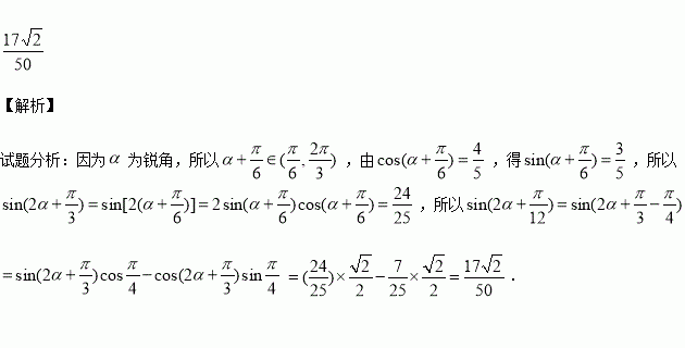
为锐角,若,则的值为 .

练习册系列答案
相关习题

科目:高中数学 来源:2015-2016学年福建省高二下周练文科数学试卷(解析版) 题型:解答题

已知函数,当时,有极大值.

(1)求函数的解析式并写出它的单调区间;

(2)求此函数在上的最大值和最小值.

查看答案和解析>>

科目:高中数学 来源:2015-2016学年河北省高二6月月考理科数学试卷(解析版) 题型:解答题

在平面直角坐标系中, 曲线的参数方程为为参数) ;在以原点为极点,轴的正半轴为极轴的极坐标系中, 曲线的极坐标参数方程为.

(1)求曲线的极坐标方程和曲线的直角坐标方程;

(2)若射线与曲线,的交点分别为(异于原点). 当斜率时, 求的取值范围.

查看答案和解析>>

科目:高中数学 来源:2015-2016学年河北省高二6月月考理科数学试卷(解析版) 题型:选择题

在等比数列中,首项,且成等差数列, 若数列的前项之积为,则的值为( )

A. B. C. D.

查看答案和解析>>

科目:高中数学 来源:2015-2016学年安徽六安一中高一下周末统测十二数学试卷(解析版) 题型:解答题

在直径是半圆上移动,过作圆的切线,问为何值时,四边形面积最大?

查看答案和解析>>

科目:高中数学 来源:2015-2016学年安徽六安一中高一下周末统测十二数学试卷(解析版) 题型:选择题

锐角三角形的内角满足,则有( )

A. B.

C. D.

查看答案和解析>>

科目:高中数学 来源:2015-2016学年安徽六安一中高一下周末统测十二数学试卷(解析版) 题型:选择题

函数的最小周期是( )

A. B. C. D.

查看答案和解析>>

科目:高中数学 来源:2015-2016学年安徽六安一中高一下周末统测十一数学试卷(解析版) 题型:选择题

为钝角,且,则的值为 ( )

A. B. C. D.

查看答案和解析>>

科目:高中数学 来源:2015-2016学年北大附中河南分校高二普通上期末文数学卷(解析版) 题型:选择题

已知椭圆,焦点在轴上,若焦距为,则等于( )

A. B. C. D.

查看答案和解析>>

同步练习册答案