精英家教网 > 高中数学 > 题目详情
若函数f(x)=sin2ax-sinaxcosax(a>0)的图象与直线y=m相切,相邻两切点之间的距离为
(1)求实数m和a的值;
(2)若点A(x0,y0)是y=f(x)图象的对称中心,且x∈[0,],求点A的坐标。
解:(1)

由题意知,m为f(x)的最大值或最小值,所以
由题意知,函数f(x)的周期为,所以a=2,
所以,a=2;
(2)因为
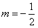
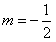
所以令0,得,所以
,得k=1或k=2,
因此点A的坐标为
练习册系列答案
相关习题

科目:高中数学 来源: 题型:

若函数 f(x)=sin2(x+
π
4
)+cos2(x-
π
4
)-1
,则函数f(x)是(  )函数.

查看答案和解析>>

科目:高中数学 来源: 题型:

△ABC中,角A、B、C所对应的边分别为a、b、c,若
a-c
b-c
=
sinB
sinA+sinC

(Ⅰ)求角A;
(Ⅱ)若函数f(x)=cos2(x+A)-sin2(x-A)+sinx(x∈[0,
π
2
])
,求函数f(x)的取值范围.

查看答案和解析>>

科目:高中数学 来源: 题型:

(2010•台州二模)已知函数f(x)=sin2ωx+
3
cosωx•cos(
π
2
-ωx)(ω>0)
,且函数y=f(x)的图象相邻两条对称轴之间的距离为
π
2

(Ⅰ)求ω的值及f(x)的单调递增区间;
(Ⅱ)在△ABC中,a,b,c分别是角A,B,C的对边,若a=
3
,b=
2
,f(A)=
3
2
,求角C.

查看答案和解析>>

科目:高中数学 来源:不详 题型:单选题

若函数 f(x)=sin2(x+
π
4
)+cos2(x-
π
4
)-1
,则函数f(x)是(  )函数.
A.周期为π的偶B.周期为2π的偶
C.周期为2π的奇D.周期为π的奇

查看答案和解析>>

科目:高中数学 来源: 题型:

若函数f(x)= sin2ωx-sinωxcosωx(ω>0)的图象与直线y=m (m为常数)相切,并且切点的横坐标依次成公差为的等差数列.

(Ⅰ)求m的值;

(Ⅱ)若点Ax0,y0)是y=f(x)图象的对称中心,且x0∈[0,],求点A的坐标.

查看答案和解析>>

同步练习册答案