精英家教网 > 高中数学 > 题目详情
22、在直角坐标平面中,已知点,其中是正整数,对平面上任一点,记关于点的对称点,关于点的对称点,…,关于点的对称点。

(1)求向量的坐标;

(2)当点在曲线C上移动时,点的轨迹是函数的图象,其中是以3为周期的周期函数,且当时,。求以曲线C为图象的函数在上的解析式;

(3)对任意偶数,用表示向量的坐标。

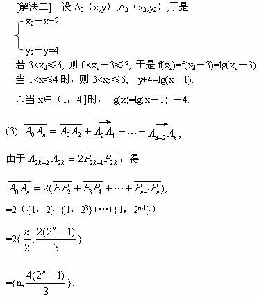
22.[解](1)设点A0(x,y),

A0关于点P1的对称点A1的坐标为A1(2-x,4+y),

A1关于点P2的对称点A2的坐标为A2(2+x,4+y),

所以,={2,4}。

(2)[解法一] ∵={2,4}

∴f(x)的图象由曲线C向右平移2个单位,再向上平移4个单位得到。

因此,曲线C是函数y=g(x)的图象,其中g(x)是以3为周期的周期函数,且当x∈(-2,1 时,g(x)=lg(x+2) -4    于是,当x∈(1,4时,g(x)=lg(x-1) -4.

 


练习册系列答案
相关习题

科目:高中数学 来源: 题型:

在直角坐标平面中,已知点P1(1,2),P2(2,22),P3(3,23),…,Pn(n,2n),其中n是正整数.对平面上任一点A0,记A1为A0关于点P1的对称点,A2为A1关于点P2的对称点,…,An为An-1关于点Pn的对称点.
(1)求向量
A0A2
的坐标;
(2)当点A0在曲线C上移动时,点A2的轨迹是函数y=f(x)的图象,其中f(x)是以3位周期的周期函数,且当x∈(0,3]时,f(x)=lgx.求以曲线C为图象的函数在(1,4]上的解析式;
(3)对任意偶数n,用n表示向量
A0An
的坐标.

查看答案和解析>>

科目:高中数学 来源: 题型:

在直角坐标平面中,已知点P1(1,2),P2(2,22),P3(3,23),…,Pn(n,2n),其中n是正整数,对平面上任一点A0,记A1为A0关于点P1的对称点,A2为A1关于点P2的对称点,…,An为An-1关于点Pn的对称点.
(1)求向量
A0A2
的坐标;
(2)当点A0在曲线C上移动时,点A2的轨迹是函数y=f(x)的图象,其中f(x)是以3为周期的周期函数,且当x∈(0,3]时,f(x)=lgx.求以曲线C为图象的函数在(1,4]上的解析式.

查看答案和解析>>

科目:高中数学 来源: 题型:

在直角坐标平面中,已知点P(0,1),Q(2,3),对平面上任意一点B0,记B1为B0关于P的对称点,B2为B1关于Q的对称点,B3为B2关于P的对称点,B4为B3关于Q的对称点,…,Bi为Bi-1关于P的对称点,Bi+1为Bi关于Q的对称点,Bi+2为Bi+1关于P的对称点(i≥1,i∈N)….则
B0B10
=
(20,20)
(20,20)

查看答案和解析>>

科目:高中数学 来源:2008-2009学年上海市虹口区北郊高级中学高三(上)摸底数学试卷(解析版) 题型:解答题

在直角坐标平面中,已知点P1(1,2),P2(2,22),P3(3,23),…,Pn(n,2n),其中n是正整数,对平面上任一点A,记A1为A关于点P1的对称点,A2为A1关于点P2的对称点,…,An为An-1关于点Pn的对称点.
(1)求向量的坐标;
(2)当点A在曲线C上移动时,点A2的轨迹是函数y=f(x)的图象,其中f(x)是以3为周期的周期函数,且当x∈(0,3]时,f(x)=lgx.求以曲线C为图象的函数在(1,4]上的解析式.

查看答案和解析>>

科目:高中数学 来源:2010-2011学年浙江省高三上学期期中考试数学文卷 题型:填空题

在直角坐标平面中,已知点,对平面上任意一点,记关于的对称点,关于的对称点,关于的对称点,关于的对称点,…,关于的对称点,关于的对称点,关于的对称点…。则       

 

查看答案和解析>>

同步练习册答案