精英家教网 > 高中数学 > 题目详情

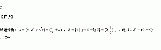
设集合,集合,则等于( )

A. B. C. D.

练习册系列答案
相关习题

科目:高中数学 来源:2016届山东省高三5月月考文科数学试卷(解析版) 题型:选择题

某汽车销售公司做了一次抽样调查,某款车的使用年限(单位:年)与维修保养的总费用(单位:千元)的统计结果如下表:

2

3

4

5

6

2

3

5

6

9

根据此表提供的数据可得回归直线方程为,依此估计该款车使用10年时维修保养的总费用(单位:千元)为( )

A.15.2 B.15.8 C.16.2 D.16.8

查看答案和解析>>

科目:高中数学 来源:2016届陕西洛南永丰中学高三考前最后一卷理数学试卷(解析版) 题型:选择题

某几何体的三视图如图所示,则该几何体的体积等于( )

A. B. C.2 D.3

查看答案和解析>>

科目:高中数学 来源:2016届山西省省际名校高三下5月联考押题理科数学试卷(解析版) 题型:填空题

由直线,曲线所围封闭图形的面积为 .

查看答案和解析>>

科目:高中数学 来源:2016届山西省省际名校高三下5月联考押题理科数学试卷(解析版) 题型:选择题

某四棱锥的三视图如图所示,则该四棱锥外接球的表面积是( )

A. B. C. D.

查看答案和解析>>

科目:高中数学 来源:2016届山东省高三三模文科数学试卷(解析版) 题型:解答题

已知棱台的三视图和直观图如图所示,分别为的中点.

(Ⅰ)证明平面

(Ⅱ)求直线与底面所成角的正切值和棱台的体积.

查看答案和解析>>

科目:高中数学 来源:2016届山东省高三三模文科数学试卷(解析版) 题型:填空题

执行右边的程序框图,若输入,则输出的的值为

查看答案和解析>>

科目:高中数学 来源:2016届山东省高三三模理科数学试卷(解析版) 题型:填空题

已知椭圆)的离心率为,长轴上的等分点从左到右依次为点,过)点作斜率为)的直线),依次交椭圆上半部分于点,交椭圆下半部分于点,则条直线的斜率乘积为

查看答案和解析>>

科目:高中数学 来源:2015-2016学年黑龙江省高一下期中理科数学试卷(解析版) 题型:解答题

已知等差数列的前n项和为的等差中项为9

(1)求

(2)令,求数列的前n项和

查看答案和解析>>

同步练习册答案