精英家教网 > 高中数学 > 题目详情

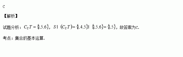
若集合,,则等于

A. B. C. D.

练习册系列答案
相关习题

科目:高中数学 来源:2014-2015学年浙江省嘉兴市高三下学期教学测试二文科数学试卷(解析版) 题型:选择题

分别为双曲线C:的左、右焦点,A 为双曲线的左顶点,以为直径的圆交双曲线一条渐近线于M、N两点,且满足,则该双曲线的离心率为

A. B. C. D.

查看答案和解析>>

科目:高中数学 来源:2014-2015学年山东省枣庄市4月模拟考试文科数学试卷(解析版) 题型:选择题

某几何体的三视图如图所示,则该几何体的体积为

A. B.2 C. D.

查看答案和解析>>

科目:高中数学 来源:2014-2015学年山东省枣庄市4月模拟考试理科数学试卷(解析版) 题型:填空题

= _______.

查看答案和解析>>

科目:高中数学 来源:2014-2015学年山东省枣庄市4月模拟考试理科数学试卷(解析版) 题型:选择题

若双曲线的渐近线与抛物线的准线所围成的三角形面积为,则该双曲线的离心率为

A. B. C. D.

查看答案和解析>>

科目:高中数学 来源:2014-2015学年山东省烟台市高三下学期一模文科数学试卷(解析版) 题型:解答题

(本小题满分12分)已知函数,其中.

(1)求函数的单调递减区间;

(2)在中,角..所对的边分别为..,且向量共线,求边长的值.

查看答案和解析>>

科目:高中数学 来源:2014-2015学年山东省烟台市高三下学期一模文科数学试卷(解析版) 题型:选择题

已知,不等式上恒成立,则实数的取值范围是( )

A. B. C. D.

查看答案和解析>>

科目:高中数学 来源:2014-2015学年江西省上饶市高三六校第一次联考文科数学试卷(解析版) 题型:填空题

已知变量x,y满足约束条件,则的取值范围是_____.

查看答案和解析>>

科目:高中数学 来源:2014-2015学年江苏省淮安市高三四统测模拟测试数学试卷(解析版) 题型:解答题

(本小题满分14分)为了制作广告牌,需在如图所示的铁片上切割出一个直角梯形,已知铁片由两部分组成,半径为1的半圆O及等腰直角三角形EFH,其中。为裁剪出面积尽可能大的梯形铁片ABCD(不计损耗),将点A,B放在弧EF上,点C、D放在斜边上,且,设.

(1)求梯形铁片ABCD的面积关于的函数关系式;

(2)试确定的值,使得梯形铁片ABCD的面积最大,并求出最大值.

查看答案和解析>>

同步练习册答案