精英家教网 > 高中数学 > 题目详情
(1)如图,对于任一给定的四面体A1A2A3A4,找出依次排列的四个相互平行的平面α1,α2,α3,α4,使得Ai∈αi(i=1,2,3,4),且其中每相邻两个平面间的距离都相等;
(2)给定依次排列的四个相互平行的平面α1,α2,α3,α4,其中每相邻两个平面间的距离为1,若一个正四面体A1A2A3A4的四个顶点满足:Ai∈αi(i=1,2,3,4),求该正四面体A1A2A3A4的体积。
解:(1)将直线A1A4三等分,其中另两个分点依次为,连接
作平行于的平面,分别过,即为
同理,过点作平面,即可得出结论。
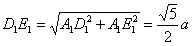
(2)现设正方体的棱长为a,若,则有

由于
那么,正四面体的棱长为
其体积为(即一个棱长为a的正方体割去四个直角三棱锥后的体积)。
练习册系列答案
相关习题

科目:高中数学 来源: 题型:

精英家教网(1)如图,对于任一给定的四面体A1A2A3A4,找出依次排列的四个相互平行的α1,α2,α3,α4,使得Ai∈αi(i=1,2,3,4),且其中每相邻两个平面间的距离都相等;
(2)给定依次排列的四个相互平行的平面α1,α2,α3,α4,其中每相邻两个平面间的距离都为1,若一个正四面体A1A2A3A4 的四个顶点满足:Ai∈αi(i=1,2,3,4),求该正四面体A1A2A3A4的体积.

查看答案和解析>>

科目:高中数学 来源: 题型:

(1)如图,对于任一给定的四面体,找出依次排列的四个相互平行的平面,使得,且其中每相邻两个平面间的距离都相等;

(2)给定依次排列的四个相互平行的平面,其中每相邻两个平面间的距离都为1,若一个正四面体的四个顶点满足,求该正四面体的体积.

查看答案和解析>>

科目:高中数学 来源:2011年江西省普通高中招生考试理科数学 题型:解答题

(本小题满分14分)
(1)如图,对于任一给定的四面体,找出依
次排列的四个相互平行的平面 ,使
(i=1,2,3,4),且其中每相邻两个平面间
的距离都相等;
(2)给定依次排列的四个相互平行的平面,其中每相邻两个平面间的距离为1,若一个正四面体的四个顶点满足:(i=1,2,3,4),求该正四面体的体积.

查看答案和解析>>

科目:高中数学 来源: 题型:

(1)如图,对于任一给定的四面体,找出依次排列的四个相互平行的平面,使得,且其中每相邻两个平面间的距离都相等;

   (2)给定依次排列的四个相互平行的平面,其中每相邻两个平面间的距离都为1,若一个正四面体的四个顶点满足:,求该正四面体的体积.

查看答案和解析>>

科目:高中数学 来源:2011年高考试题数学理(江西卷)解析版 题型:解答题

 

  (1)如图,对于任一给定的四面体,找出依

       次排列的四个相互平行的平面 ,使

       得(i=1,2,3,4),且其中每相邻两个平面间

       的距离都相等;

  (2)给定依次排列的四个相互平行的平面,其中每相邻两个平面间的距离为1,若一个正四面体的四个顶点满足:(i=1,2,3,4),求该正四面体的体积.

   

 

 

查看答案和解析>>

同步练习册答案