精英家教网 > 高中数学 > 题目详情

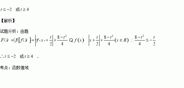
已知函数,若函数时有相同的值域,实数的取值范围是______.

练习册系列答案
相关习题

科目:高中数学 来源:2015-2016学年福建省四地六校高二上学期11月月考文科数学试卷(解析版) 题型:选择题

一个椭圆中心在原点,焦点F1,F2在x轴上,P(2,)是椭圆上一点,且|PF1|,|F1F2|,|PF2|成等差数列,则椭圆方程为( )

A. B. C. D.

查看答案和解析>>

科目:高中数学 来源:2016届山东省高三上开学考试理科数学试卷(解析版) 题型:填空题

已知的展开式中的系数与的展开式中的系数相等,则

查看答案和解析>>

科目:高中数学 来源:2016届安徽省等高三第三次联考文科数学卷(解析版) 题型:填空题

两个同底的正四棱锥内接于同一个球,两个四棱锥侧面与底面形成的角分别为,则的取值范围是

查看答案和解析>>

科目:高中数学 来源:2016届安徽省等高三第三次联考理科数学试卷(解析版) 题型:填空题

已知函数,则f(x)dx

查看答案和解析>>

科目:高中数学 来源:2015-2016学年浙江省高二上期中数学试卷(解析版) 题型:填空题

一只蚂蚁从棱长为1cm的正方体的表面上某一点出发,走遍正方体的每个面的中心的最短距离,那么的最大值是__________.

查看答案和解析>>

科目:高中数学 来源:2015-2016学年浙江省高二上期中数学试卷(解析版) 题型:选择题

已知各棱长均为1的四面体ABCD中, E是AD的中点,P∈直线CE,则|BP|+|DP|的最小值为( )

A.1+ B. C. D.

查看答案和解析>>

科目:高中数学 来源:2015-2016学年云南省高一上期中数学试卷(解析版) 题型:解答题

计算下列各题:

(1)

(2)

查看答案和解析>>

科目:高中数学 来源:2015-2016学年江苏省高一上期中数学试卷(解析版) 题型:填空题

三个数之间的大小关系是 (用a,b,c表示).

查看答案和解析>>

同步练习册答案