精英家教网 > 高中数学 > 题目详情

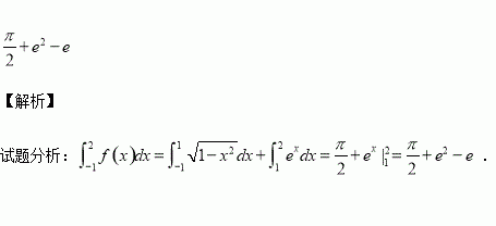
已知函数,则f(x)dx

练习册系列答案
相关习题

科目:高中数学 来源:2015-2016学年江苏省淮安市高二上学期期中考试数学试卷(解析版) 题型:填空题

若一个正三棱锥的高为5,底面边长为6,则这个正三棱锥的体积为

查看答案和解析>>

科目:高中数学 来源:2016届山东省高三上开学考试文科数学试卷(解析版) 题型:填空题

直线与圆交于两点,则为坐标原点)等于

查看答案和解析>>

科目:高中数学 来源:2016届湖南省六校高三12月联考理科数学卷(解析版) 题型:填空题

函数)的单调递增区间是

查看答案和解析>>

科目:高中数学 来源:2016届安徽省等高三第三次联考文科数学卷(解析版) 题型:选择题

已知,则的最小值是( )

A.4 B.5 C.6 D.7

查看答案和解析>>

科目:高中数学 来源:2015-2016学年重庆市高一上期中数学试卷(解析版) 题型:填空题

已知函数,若函数时有相同的值域,实数的取值范围是______.

查看答案和解析>>

科目:高中数学 来源:2015-2016学年浙江省高二上期中数学试卷(解析版) 题型:选择题

若直线不平行于平面,则下列结论正确的是( )

A.内所有的直线都与异面

B.直线与平面有公共点

C.内所有的直线都与相交

D.内不存在与平行的直线

查看答案和解析>>

科目:高中数学 来源:2015-2016学年浙江慈溪中学高二2-10班上期中数学卷(解析版) 题型:解答题

如图,边长为2的正方形边所在直线旋转一定的角度(小于)到的位置.

(1)若,求三棱锥的外接球的表面积;

(2)若为线段上异于的点,,设直线与平面所成角为,当时,求的取值范围.

查看答案和解析>>

科目:高中数学 来源:2015-2016学年辽宁沈阳二中高二12月月考文科数学卷(解析版) 题型:选择题

已知等比数列{an}的公比q=2,它的前9项的平均值等于,若从中去掉一项am,剩下的8项的平均值等于,则m等于( )

A.5 B.6 C.7 D.8

查看答案和解析>>

同步练习册答案