精英家教网 > 高中数学 > 题目详情
已知直线l:y=kx+1与圆C:x2+y2-4x-6y+12=0相交于M,N两点,
(1)求k的取值范围;
(2)若O为坐标原点,且,求k的值。
解:(1)


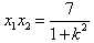
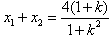
(2)设



∴原式
解得k=1。
练习册系列答案
相关习题

科目:高中数学 来源: 题型:

已知直线l:y=kx+k+1,抛物线C:y2=4x,定点M(1,1).
(I)当直线l经过抛物线焦点F时,求点M关于直线l的对称点N的坐标,并判断点N是否在抛物线C上;
(II)当k(k≠0)变化且直线l与抛物线C有公共点时,设点P(a,1)关于直线l的对称点为Q(x0,y0),求x0关于k的函数关系式x0=f(k);若P与M重合时,求x0的取值范围.

查看答案和解析>>

科目:高中数学 来源: 题型:

已知直线l:y=kx+1与椭圆
x2
2
+y2=1交于M、N两点,且|MN|=
4
2
3
.求直线l的方程.

查看答案和解析>>

科目:高中数学 来源: 题型:

如图所示,已知圆M:(x+1)2+y2=8及定点N(1,0),点P是圆M上一动点,点Q为PN的中点,PM上一点G满足
GQ
NP
=0

(1)求点G的轨迹C的方程;
(2)已知直线l:y=kx+m与曲线C交于A、B两点,E(0,1),是否存在直线l,使得点N恰为△ABE的垂心?若存在,求出直线l的方程,若不存在,请说明理由.

查看答案和解析>>

科目:高中数学 来源: 题型:

已知直线l:y=kx+b是椭圆C:
x24
+y2=1
的一条切线,F1,F2为左右焦点.
(1)过F1,F2作l的垂线,垂足分别为M,N,求|F1M|•|F2M|的值;
(2)若直线l与x轴、y轴分别交于A,B两点,求|AB|的最小值,并求此时直线l的斜率.

查看答案和解析>>

科目:高中数学 来源: 题型:

已知直线l:y=kx-1与双曲线C:x2-y2=4
(1)如果l与C只有一个公共点,求k的值;
(2)如果l与C的左右两支分别相交于A(x1,y1),B(x2,y2)两点,且|x1-x2|=2
5
,求k的值.

查看答案和解析>>

同步练习册答案