精英家教网 > 高中数学 > 题目详情

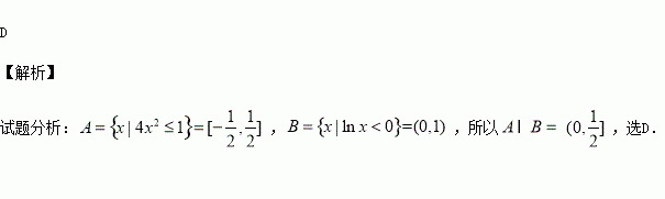
设集合,则( )

A. B. C. D.

练习册系列答案
相关习题

科目:高中数学 来源:2016届浙江稽阳联谊学校高三4月联考数学(文)试卷(解析版) 题型:解答题

已知等比数列的前项和为为等差数列的前三项.

(1)求与数列的通项公式;

(2)设数列的前项和,试问是否存在正整数,对任意的使得?若存在请求出的最大值,若不存在请说明理由.

查看答案和解析>>

科目:高中数学 来源:2015-2016学年广东湛江一中高一下期末数学(理)试卷(解析版) 题型:选择题

已知,那么tanα的值为( )

A.﹣2 B.2 C. D.

查看答案和解析>>

科目:高中数学 来源:2017届山东省高三第一次诊断数学(文)试卷(解析版) 题型:填空题

已知,则的最小值为

查看答案和解析>>

科目:高中数学 来源:2017届山东省高三第一次诊断数学(文)试卷(解析版) 题型:选择题

执行如图所示的程序框图,若输入的值为2,则输出的值为( )

A. B. C. D.

查看答案和解析>>

科目:高中数学 来源:2017届山东省高三第一次诊断数学(理)试卷(解析版) 题型:解答题

在研究塞卡病毒(Zika virus)某种疫苗的过程中,为了研究小白鼠连续接种该种疫苗后出现症状的情况,做接种试验,试验设计每天接种一次,连续接种3天为一个接种周期.已知小白鼠接种后当天出现症状的概率为,假设每次接种后当天是否出现症状与上次接种无关.

(1)若出现症状即停止试验,求试验至多持续一个接种周期的概率;

(2)若在一个接种周期内出现2次货3次症状,则这个接种周期结束后终止试验,试验至多持续3个周期,设接种试验持续的接种周期数为,求的分布列及数学期望.

查看答案和解析>>

科目:高中数学 来源:2017届山东省高三第一次诊断数学(理)试卷(解析版) 题型:选择题

已知定义在上的偶函数满足,且时,的零点个数是( )

A.9 B.10 C.18 D.20

查看答案和解析>>

科目:高中数学 来源:2017届江西九江地区高三七校联考数学(文)试卷(解析版) 题型:填空题

函数在区间(2,6)上递增,则实数的取值范围是__________.

查看答案和解析>>

科目:高中数学 来源:2017届江西鹰潭一中高三上学期月考二数学(理)试卷(解析版) 题型:解答题

已知),若的必要而不充分条件,求实数的取值范围.

查看答案和解析>>

同步练习册答案