精英家教网 > 高中数学 > 题目详情

已知函数).

(1)若的定义域和值域均是,求实数的值;

(2)若对任意的,总有,求实数的取值范围.

 

【答案】

(1);(2)

【解析】

试题分析:(1)求出二次函数的对称轴是关键.通过对称轴知道函数f(x)在上单调递减.在结合已知条件即可得两个等式.求出结论.

(2)条件表示的含义是函数f(x)在上的最大值与最小值的差小于或等于4.因为函数f(x)的对称轴为.所以要将的值分两类.再根据单调性即可求得的范围.本题的函数的背景是二次函数所以抓住对称轴展开研究函数的最值单调性.同时分类的思想是解题的关键.

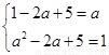
试题解析:(1)因为.所以f(x)在是减函数,又定义域和值域为所以.即.解得.

(2)若.又,且.所以..因为对任意的.总有.所以.即.解得.又.所以.若...显然成立.综上.

考点:1.二次函数的对成性.2.函数的最值问题.3.分类思想想.

 

练习册系列答案
相关习题

科目:高中数学 来源: 题型:

已知函数y=ax3+bx2+6x+1的递增区间为(-2,3),则a,b的值分别为
 

查看答案和解析>>

科目:高中数学 来源: 题型:

已知函数f(x)=x-
2x
+1-alnx
,a>0,
(1)讨论f(x)的单调性;
(2)设a=3,求f(x)在区间[1,e2]上值域.

查看答案和解析>>

科目:高中数学 来源: 题型:

已知函数f(x)=a
1-x2
+
1+x
+
1-x
的最大值为g(a).
(1)设t=
1+x
+
1-x
,求t的取值范围;
(2)求g(a).

查看答案和解析>>

科目:高中数学 来源: 题型:

已知函数f(x)=a-
12x+1

(1)求证:函数f(x)在R上为增函数;
(2)当函数f(x)为奇函数时,求a的值;
(3)当函数f(x)为奇函数时,求函数f(x)在[-1,2]上的值域.

查看答案和解析>>

科目:高中数学 来源: 题型:

已知函数f(x)=
x(x+1),x≥0
x(1-x),x<0
,则f(0)=
 

查看答案和解析>>

同步练习册答案