精英家教网 > 高中数学 > 题目详情

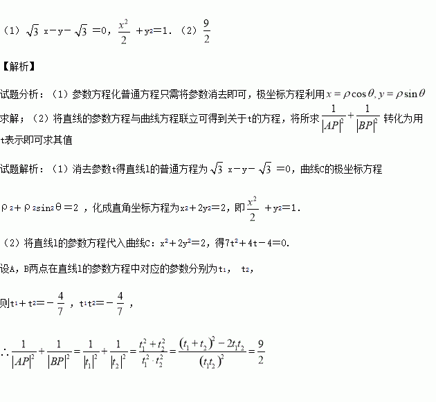
以直角坐标系的原点为极点,x轴的非负半轴为极轴,并在两种坐标系中取相同的长度单位.已知:直线l的参数方程为 (t为参数), 曲线C的极坐标方程为(1+sin2θ)ρ2=2.

(1)写出直线l的普通方程与曲线C的直角坐标方程;

(2)设直线l与曲线C相交于A,B两点,若点P为(1,0),求

练习册系列答案
相关习题

科目:高中数学 来源:2015-2016学年黑龙江鹤岗一中高二下期末文科数学试卷(解析版) 题型:选择题

若点在直线上,则的值等于( )

A. B. C. D.

查看答案和解析>>

科目:高中数学 来源:2015-2016学年福建省高二下期中文科数学试卷(解析版) 题型:选择题

函数的减区间为( )

A. B. C. D.

查看答案和解析>>

科目:高中数学 来源:2015-2016学年福建省高二下期中理科数学试卷(解析版) 题型:选择题

的展开式中各项系数的和为2,则该展开式中常数项为( )

A.-40 B.-20 C.20 D.40

查看答案和解析>>

科目:高中数学 来源:2015-2016学年福建省高二下期中理科数学试卷(解析版) 题型:选择题

从5名男生和5名女生中选3人组队参加某集体项目的比赛,其中至少有一名女生入选的组队方案数为( )

A.100 B.110 C.120 D.180

查看答案和解析>>

科目:高中数学 来源:2015-2016学年安徽省安庆市六校高二下期中文科数学试卷(解析版) 题型:填空题

如图(1)有面积关系:则图(2)有体积关系:=________.

查看答案和解析>>

科目:高中数学 来源:2015-2016学年安徽省安庆市六校高二下期中文科数学试卷(解析版) 题型:选择题

设x,y,z都是正实数,a=x+,b=y+,c=z+,则a,b,c三个数( ).

A.至少有一个不小于2 B.都小于2

C.至少有一个不大于2 D.都大于2

查看答案和解析>>

科目:高中数学 来源:2015-2016学年江西金溪一中高一下第二次月考理科数学卷(解析版) 题型:填空题

等差数列的前三项为,则数列的通项公式 .

查看答案和解析>>

科目:高中数学 来源:2015-2016学年福建省高二下期中文科数学试卷(解析版) 题型:解答题

某地区甲校高二年级有1 100人,乙校高二年级有900人,为了统计两个学校高二年级在学业水平考试中的数学学科成绩,采用分层抽样的方法在两校共抽取了200名学生的数学成绩,如下表:(已知本次测试合格线是50分,两校合格率均为100%)

甲校高二年级数学成绩:

分组

[50,60)

[60,70)

[70,80)

[80,90)

[90,100]

频数

10

25

35

30

x

乙校高二年级数学成绩:

分组

[50,60)

[60,70)

[70,80)

[80,90)

[90,100]

频数

15

30

25

y

5

(1)计算x,y的值,并分别估计以上两所学校数学成绩的平均分(精确到1分).

(2)若数学成绩不低于80分为优秀,低于80分的为非优秀,根据以上统计数据写下面2×2列联表,并回答能否在犯错误的概率不超过0.05的前提下认为“两个学校的数学成绩有差异?”

甲校

乙校

总计

优秀

非优秀

总计

查看答案和解析>>

同步练习册答案