精英家教网 > 高中数学 > 题目详情

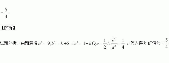
焦点在轴上的椭圆的离心率为,则的值为___________.

练习册系列答案
相关习题

科目:高中数学 来源:2016届山东省高三第二次诊断性考试理科数学试卷(解析版) 题型:选择题

,则的定义域为

A. B.

C. D.

查看答案和解析>>

科目:高中数学 来源:2015-2016学年广西桂林中学高二上期中考试文科数学试卷(解析版) 题型:解答题

(12分)在中,角所对的边分别为,且

(Ⅰ)当时,求证:

(Ⅱ)若,求的值

查看答案和解析>>

科目:高中数学 来源:2015-2016学年湖北省枣阳市高二10月月考理科数学试卷(解析版) 题型:选择题

为了解某社区居民的家庭年收入所年支出的关系,随机调查了该社区5户家庭,得到如下统计数据表:

收入 (万元)

8.2

8.6

10.0

11.3

11.9

支出 (万元)

6.2

7.5

8.0

8.5

9.8

根据上表可得回归直线方程 ,其中 ,据此估计,该社区一户收入为15万元家庭年支出为( )

A.11.4万元 B.11.8万元 C.12.0万元 D.12.2万元

查看答案和解析>>

科目:高中数学 来源:2015-2016学年河南省英文学校高一上学期期中考试数学试卷(解析版) 题型:选择题

设奇函数上为增函数,且,则不等式的解集为( )

A.

B.

C.

D.

查看答案和解析>>

科目:高中数学 来源:2015-2016学年广东省普宁市高一上学期期中考试数学试卷(解析版) 题型:解答题

(本小题满分14分)

(1)已知△ABC三个顶点的坐标分别为A(4,1),B(0,3),C(2,4),边AC的中点为D,求AC边上中线BD所在的直线方程并化为一般式;

(2)已知圆C的圆心是直线的交点且与直线相切,求圆C的方程.

查看答案和解析>>

科目:高中数学 来源:2015-2016学年甘肃省定西市高一上学期第一次月考数学试卷(解析版) 题型:选择题

已知,则( )

A.5 B.-1 C.-7 D.2

查看答案和解析>>

科目:高中数学 来源:2016届浙江省高三10月月考文科数学试卷(解析版) 题型:选择题

中,角的对边分别为,若,则角的值是( )

A. B. C. D.

查看答案和解析>>

科目:高中数学 来源:2015-2016学年广东省普宁市高一上学期期中考试数学试卷(解析版) 题型:解答题

(本小题满分10分)设全集

(1)求

(2)求

查看答案和解析>>

同步练习册答案