精英家教网 > 高中数学 > 题目详情

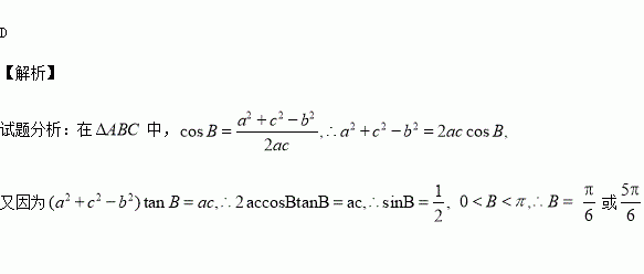
中,角的对边分别为,若,则角的值是( )

A. B. C. D.

练习册系列答案
相关习题

科目:高中数学 来源:2015-2016学年湖北省高二上期中文科数学试卷(解析版) 题型:解答题

(本小题满分13分)已知△的两个顶点的坐标分别是,且所在直线的斜率之积等于

(1)求顶点的轨迹的方程,并判断轨迹为何种曲线;

(2)当时,点为曲线 C上点, 且点为第一象限点,过点作两条直线与曲线C交于两点,直线斜率互为相反数,则直线EF斜率是否为定值,若是,求出定值,若不是,请说明理由.

查看答案和解析>>

科目:高中数学 来源:2015-2016学年广东省英德市高二上学期第一次月考理科数学试卷(解析版) 题型:填空题

焦点在轴上的椭圆的离心率为,则的值为___________.

查看答案和解析>>

科目:高中数学 来源:2014-2015学年浙江省等三校高二上学期期中考试数学试卷(解析版) 题型:解答题

设等差数列{an}满足a3=5,a10=-9.

(1)求{an}的通项公式;

(2)求{an}的前n项和Sn及使得Sn最大的序号n的值.

查看答案和解析>>

科目:高中数学 来源:2014-2015学年上海市高一下学期期末考试数学试卷(解析版) 题型:填空题

在等腰直角中,中排列着内接正方形,如图所示,若正方形的面积依次为(从大到小),其中,则

查看答案和解析>>

科目:高中数学 来源:2015-2016学年四川省高一上学期第一学月考数学试卷(解析版) 题型:选择题

已知集合,若A=,则实数的集合为( )

A. B.

C. D.

查看答案和解析>>

科目:高中数学 来源:2015-2016学年四川成都市六校高二上学期期中联考文科数学试卷(解析版) 题型:解答题

(本小题满分10分)如图甲,⊙的直径,圆上两点在直径的两侧,使.沿直径折起,使两个半圆所在的平面互相垂直(如图乙),的中点.根据图乙解答下列各题:

(1)求点到平面的距离;

(2)如图:若的平分线交弧于一点,试判断是否与平面平行?并说明理由.

查看答案和解析>>

科目:高中数学 来源:2015-2016学年湖北省宜昌市高一上学期期中考试数学试卷(解析版) 题型:解答题

设a是实数,f(x)=a-(x∈R).

(1)证明:f(x)是增函数;

(2)试确定a的值,使f(x)为奇函数.

查看答案和解析>>

科目:高中数学 来源:2016届辽宁省大连市高三10月月考理科数学试卷(解析版) 题型:选择题

已知平面直角坐标内的向量,若该平面内不是所有的向量都能写成的形式,则的值为( )

(A) (B) (C)3 (D)—3

查看答案和解析>>

同步练习册答案