精英家教网 > 高中数学 > 题目详情

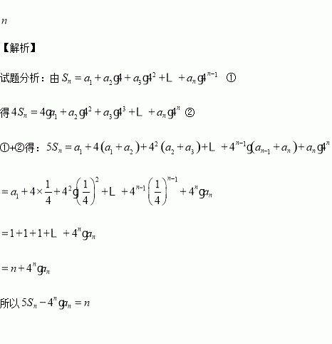
已知数列满足葬,仿照课本中推导等比数列前n项和公式的方法,可求得5Sn-4nan=

练习册系列答案
相关习题

科目:高中数学 来源:2017届四川绵阳中学高三上学期入学考试数学(理)试卷(解析版) 题型:解答题

在直角坐标系中, 以原点为极点, 轴的正半轴为极轴建立极坐标系, 已知曲线,过点的直线为参数) 与曲线相交于两点.

(1)求曲线的直角坐标方程与直线的普通方程;

(2)若成等比数列, 求实数的值.

查看答案和解析>>

科目:高中数学 来源:2017届新疆生产建设兵团二中高三上月考一数学(文)试卷(解析版) 题型:选择题

已知集合,则( )

A. B. C. D.

查看答案和解析>>

科目:高中数学 来源:2016-2017学年辽宁六校协作体高二期初考试数学试卷(解析版) 题型:选择题

,则( )

A. B. C. D.

查看答案和解析>>

科目:高中数学 来源:2015-2016学年贵州黔南州高一下学期期末数学试卷(解析版) 题型:解答题

如图1,AB为圆O的直径,D为圆周上异于A,B的点,PB垂直于圆O所在的平面,BE⊥PA,BF⊥PD,垂足分别为E,F。已知AB=BP=2,直线PD与平面ABD所成角的正切值为

(I)求证:BF⊥平面PAD

(II)求三棱锥E-ABD的体积

(III)在图2中,作出平面BEF与平面ABD的交线,并求平面BEF与平面ABD所成锐二面角的大小、

查看答案和解析>>

科目:高中数学 来源:2015-2016学年贵州黔南州高一下学期期末数学试卷(解析版) 题型:选择题

已知等比数列的各项均为正数,公比 的大小关系是()

A.

B.

C.

D.

查看答案和解析>>

科目:高中数学 来源:2015-2016学年贵州黔南州高一下学期期末数学试卷(解析版) 题型:选择题

△ABC中,A=,BC= ,则△ABC 的外接圆面积为( )

A、 B、2 C、3 D、4

查看答案和解析>>

科目:高中数学 来源:2015-2016学年广东汕头市高二下学期期末数学(文)试卷(解析版) 题型:选择题

已知向量,又,则等于

A. B. C.1 D.2

查看答案和解析>>

科目:高中数学 来源:2016届陕西黄陵中学高三下二模考试数学(理)试卷(解析版) 题型:填空题

如下图,是一个程序框图,则输出结果为__________.

查看答案和解析>>

同步练习册答案