精英家教网 > 高中数学 > 题目详情

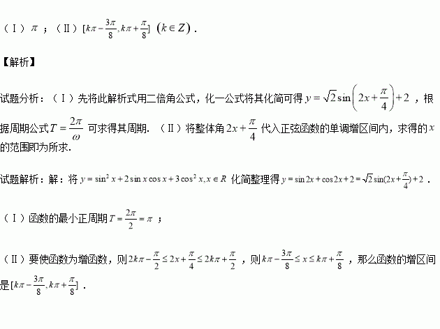
(满分12分)已知函数.

(Ⅰ)求函数的最小正周期;

(Ⅱ)求函数的单调增区间.

练习册系列答案
相关习题

科目:高中数学 来源:2016届西藏日喀则一中高三10月检测理科数学试卷(解析版) 题型:选择题

已知正三角形三个顶点都在半径为的球面上,球心到平面的距离为,点是线段的中点,过点作球的截面,则截面面积的最小值是( )

A. B. C. D.

查看答案和解析>>

科目:高中数学 来源:2015-2016学年湖北宜昌一中高二上学期期中理科数学试卷(解析版) 题型:选择题

两条直线互相垂直,则的值是

A. B. C. D.

查看答案和解析>>

科目:高中数学 来源:2015-2016学年广西桂林中学高二上期中考试理科数学试卷(解析版) 题型:选择题

已知是实数,则“”是“”的( )

A.充分而不必要条件

B.既不充分也不必要条件

C.必要而不充分条件

D.充要条件

查看答案和解析>>

科目:高中数学 来源:2016届四川省巴中市普通高中高三10月零诊考试理科数学试卷(解析版) 题型:解答题

(本小题满分12分)已知函数在x=1处的切线方程为x-y=1.

(1)求f(x)的表达式;

(2)若f(x)≥g(x)恒成立,则称f(x)为g(x)的一个“上界函数”,当(1)中的函数f(x)为函数g(x)=lnx(t∈R)的一个上界函数时,求实数t的取值范围;

(3)当m>0时,对于(1)中的f(x),讨论F(x)= f(x)+在区间(0,2)上极值点的个数.

查看答案和解析>>

科目:高中数学 来源:2014-2015学年陕西省西安市高三上学期期中考试文科数学试卷(解析版) 题型:选择题

,那么( )

A. B. C. D.

查看答案和解析>>

科目:高中数学 来源:2015-2016年重庆巴蜀中学高一上学期10月月考数学试卷(解析版) 题型:填空题

已知函数f(x)=,且f(x)在R上递减,则实数a的取值范围

查看答案和解析>>

科目:高中数学 来源:2015-2016学年湖北武汉二中高二上学期期中文科数学试卷(解析版) 题型:选择题

已知命题p:|x-1|≥2,命题q:x∈Z,若“p且q”与“非q”同时为假命题,则满足条件的x为( )

A.{x|x≥3或x≤-1,x∈Z}

B.{x|-1≤x≤3,x∈Z}

C.{0,1,2}

D.{-1,0,1,2,3}

查看答案和解析>>

科目:高中数学 来源:2016届广东省惠州市高三上学期第二次调研考试理科数学试卷(解析版) 题型:选择题

已知双曲线的一条渐近线为,则双曲线的离心率等于( )

(A) (B) (C) (D)

查看答案和解析>>

同步练习册答案