精英家教网 > 高中数学 > 题目详情

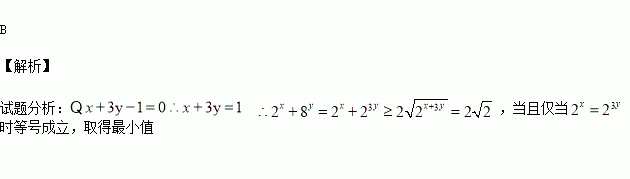
已知x+3y-1=0,则关于的说法正确的是( )

A.有最大值8 B.有最小值

C.有最小值8 D.有最大值

练习册系列答案
相关习题

科目:高中数学 来源:2015-2016学年安徽师大附中高二上学期期中文科数学试卷(解析版) 题型:填空题

已知以为渐近线的双曲线的左、右焦点分别为为双曲线右支上任意一点,则的取值范围是

查看答案和解析>>

科目:高中数学 来源:2015-2016学年广东省清远市实验学校高二上学期期中数学试卷(解析版) 题型:选择题

抛掷一枚质地均匀的硬币,如果连续抛掷1000次,则第999次出现正面朝上的概率是( )

A. B. C. D.

查看答案和解析>>

科目:高中数学 来源:2015-2016学年吉林省扶余市高二上学期期中考试理科数学试卷(解析版) 题型:选择题

已知命题”,“p”和“

式的命题中,真命题的个数是( )

A.3 B.2 C.1 D.0

查看答案和解析>>

科目:高中数学 来源:2015-2016学年福建省高一上学期期中考试数学试卷(解析版) 题型:解答题

(本小题满分10分)计算下列各式:

(1)

(2)

查看答案和解析>>

科目:高中数学 来源:2015-2016学年福建省高二上学期期中考试理科数学试卷(解析版) 题型:填空题

设变量x,y满足约束条件,则的最小值为

查看答案和解析>>

科目:高中数学 来源:2014-2015学年上海市高二下学期期末考试数学试卷(解析版) 题型:填空题

若五个人排成一排,则甲乙两人之间仅有一人的概率是 .(结果用数值表示)

查看答案和解析>>

科目:高中数学 来源:2015-2016学年辽宁省大连市高二上期中文科数学试卷(解析版) 题型:选择题

平面内到两定点的距离之差的绝对值等于的点的轨迹

(A)椭圆 (B)线段 (C)两条射线 (D)双曲线

查看答案和解析>>

科目:高中数学 来源:2015-2016学年河北省邢台市高二上第一次月考数学试卷(解析版) 题型:解答题

如图,在四棱锥中,底面为矩形,平面的中点.

(1)求证:平面;

(2)设求三棱锥的体积。

查看答案和解析>>

同步练习册答案