精英家教网 > 高中数学 > 题目详情

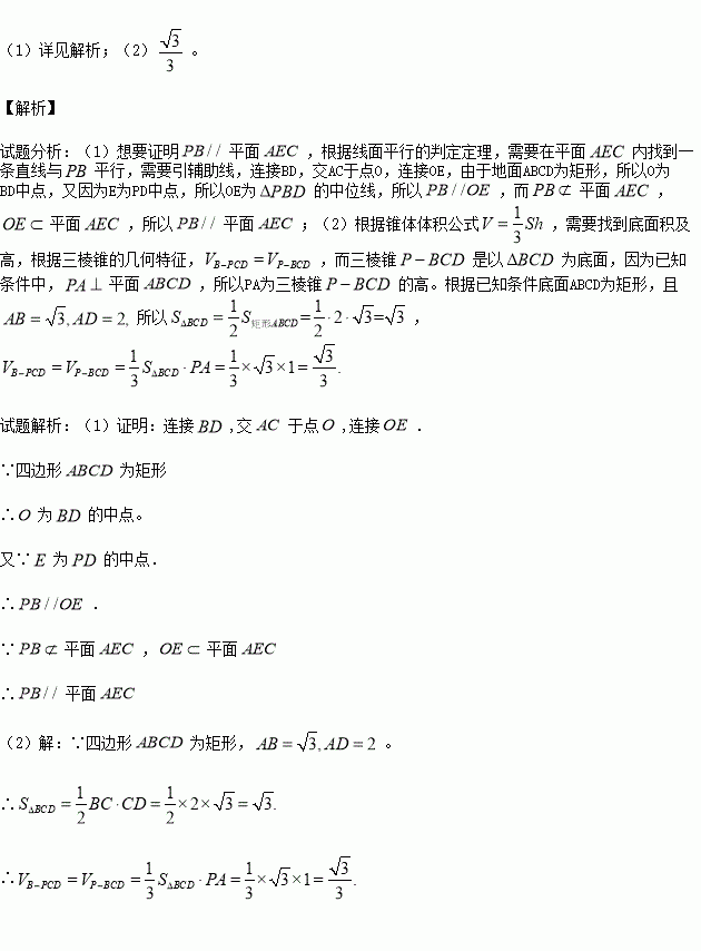
如图,在四棱锥中,底面为矩形,平面的中点.

(1)求证:平面;

(2)设求三棱锥的体积。

练习册系列答案
相关习题

科目:高中数学 来源:2015-2016学年福建省高二上学期期中考试文科数学试卷(解析版) 题型:选择题

已知x+3y-1=0,则关于的说法正确的是( )

A.有最大值8 B.有最小值

C.有最小值8 D.有最大值

查看答案和解析>>

科目:高中数学 来源:2015-2016学年江西省等三校高二上第一次联考数学试卷(解析版) 题型:选择题

设E、F、G分别为四面体ABCD的棱BC、CD、DA的中点,则此四面体中与过E、F、G的截面平行的棱有( )

A.0条 B.1条 C.2条 D.3条

查看答案和解析>>

科目:高中数学 来源:2015-2016学年湖南省高一上学期期中考试数学试卷(解析版) 题型:选择题

下列函数是偶函数的是( )

A.y=2x2-3 B.y=x3 C.y=x2,x∈[0,1] D.y=x

查看答案和解析>>

科目:高中数学 来源:2015-2016学年湖北省宜昌市高二上期中理科数学试卷(解析版) 题型:解答题

(10分)过点A(8,6)引三条直线l1、l2、l3,它们的倾斜角之比为1∶2∶4,若直线l2的方程是y=x,求直线l1、l3的方程

查看答案和解析>>

科目:高中数学 来源:2015-2016学年广东省普宁市高二上期中文科数学试卷(解析版) 题型:解答题

(本小题满分14分)

如图,已知椭圆的离心率,左、右焦点分别为,点满足:在线段的中垂线上.

(Ⅰ)求椭圆的方程;

(Ⅱ)若斜率为的直线轴、椭圆顺次相交于点,且,求的取值范围.

查看答案和解析>>

科目:高中数学 来源:2015-2016学年广东省普宁市高二上期中理科数学试卷(解析版) 题型:填空题

函数的定义域为

查看答案和解析>>

科目:高中数学 来源:2016届云南省玉溪市高三上学期期中文科数学试卷(解析版) 题型:选择题

已知双曲线与抛物线有一个共同的焦点,两曲线的一个交点为,若,则点F到双曲线的渐近线的距离为( )

A. B. C. D.

查看答案和解析>>

科目:高中数学 来源:2016届贵州省贵阳市高三上学期第三次月考文科数学试卷(解析版) 题型:选择题

双曲线的一条渐近线与垂直,则双曲线的离心率为( )

A. B. C. D.

查看答案和解析>>

同步练习册答案