精英家教网 > 高中数学 > 题目详情

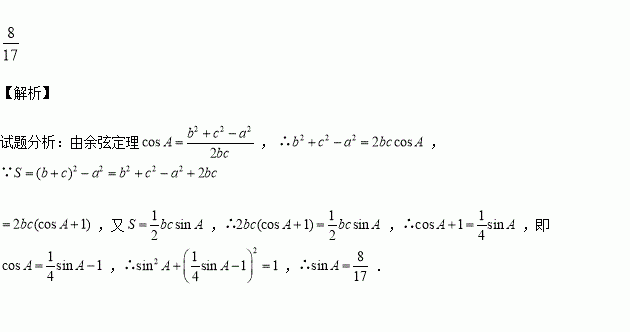
中,角A,B,C的对边分别为a,b,c,若的面积,则

练习册系列答案
相关习题

科目:高中数学 来源:2015-2016学年湖北航天高中等校高二上学期期中联考数学试卷(解析版) 题型:填空题

将二进制数101101(2)化为十进制数,结果为 ;再将结果化为8进制数,结果为

查看答案和解析>>

科目:高中数学 来源:2015-2016学年湖南省高二上学期期中考试文科数学试卷(解析版) 题型:选择题

设x,y满足约束条件,则z=2x-3y的最小值是( )

A.-7 B.-6 C.-5 D.-3

查看答案和解析>>

科目:高中数学 来源:2016届重庆市高三12月月考理科数学试卷(解析版) 题型:选择题

如图是某实心机械零件的三视图,则该机械零件的体积为( )

A. B. C. D.

查看答案和解析>>

科目:高中数学 来源:2016届云南师大附中高考适应性月考四文科数学试卷(解析版) 题型:解答题

如图,的外接圆的切线AE与BC的延长线相交于点E,的平分线与BC相交于点D,求证:

(1)

(2)

查看答案和解析>>

科目:高中数学 来源:2016届辽宁省大连市高三12月月考文科数学试卷(解析版) 题型:解答题

在直角坐标平面内,直线l过点P(1,1),且倾斜角α=.以坐标原点O为极点,x轴的非负半轴为极轴建立极坐标系,已知圆C的极坐标方程为ρ=4sinθ.

(1)求圆C的直角坐标方程;

(2)设直线l与圆C交于A、B两点,求|PA|·|PB|的值.

查看答案和解析>>

科目:高中数学 来源:2016届辽宁省大连市高三12月月考理科数学试卷(解析版) 题型:解答题

已知在锐角中,为角所对的边,且

(1)求角的值;

(2)若,求的取值范围.

查看答案和解析>>

科目:高中数学 来源:2016届河北省邯郸市高三一轮收官考试一文科数学试卷(解析版) 题型:填空题

函数满足对定义域中的任意两个不相等的都成立,则的取值范围是

查看答案和解析>>

科目:高中数学 来源:2016届福建省高三上第二次月考理科数学试卷(解析版) 题型:选择题

如图,直三棱柱的六个顶点都在半径为1的半球面上,,侧面是半球底面圆的内接正方形,则侧面的面积为 ( )

A. B. C.2 D.1

查看答案和解析>>

同步练习册答案