精英家教网 > 高中数学 > 题目详情

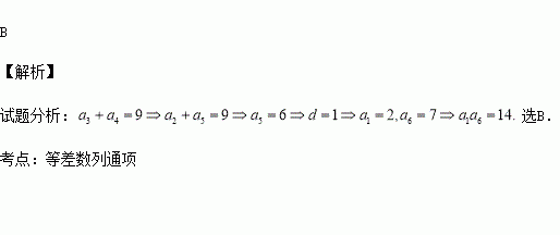
在等差数列中,若,则=( )

A.18 B.14 C.2 D.27

练习册系列答案
相关习题

科目:高中数学 来源:2014-2015学年山东省潍坊市诸城市四县高二下学期期末理科数学试卷(解析版) 题型:选择题

从1,2,3,4,5中任取2个不同的数,事件A=“取到的2个数之和为偶数”,事件B=“取到的2个数均为偶数”,则( )

A. B. C. D.

查看答案和解析>>

科目:高中数学 来源:2016届重庆市高三10月月考文科数学试卷(解析版) 题型:选择题

已知命题p: y=sin(2x+)的图像关于(?,0)对称;命题q:若2a <2b ,则lga<lgb。则下列命题中正确的是( )

A、p∧q B、?p∧q C、p∧?q D、?p∨q

查看答案和解析>>

科目:高中数学 来源:2016届山东省高三上学期开学考试理科数学试卷(解析版) 题型:选择题

复数等于

A. B. C. D.

查看答案和解析>>

科目:高中数学 来源:2016届宁夏银川市高三上学期统练二理科数学试卷(解析版) 题型:解答题

(本小题满分12分)已知等比数列是递增数列,,数列满足,且

(1)证明:数列是等差数列;

(2)若对任意,不等式总成立,求实数的最大值.

查看答案和解析>>

科目:高中数学 来源:2016届江西省高三上学期第一次考试理科数学试卷(解析版) 题型:选择题

已知α为第二象限角,且sin α=,则tan(π+α)的值是( )

A. B. C. D.

查看答案和解析>>

科目:高中数学 来源:2016届吉林省高三上学期第一次模拟理科数学试卷(解析版) 题型:解答题

(本小题满分12分)为了整顿道路交通秩序,某地考虑将对行人闯红灯进行处罚.为了更好地了解市民的态度,在普通行人中随机选取了200人进行调查,得到如下数据:

处罚金额x(单位:元)

0

5

10

15

20

会闯红灯的人数y

80

50

40

20

10

(Ⅰ)若用表中数据所得频率代替概率,则处罚10元时与处罚20元时,行人会闯红灯的概率的差是多少?

(Ⅱ)若从这5种处罚金额中随机抽取2种不同的金额进行处罚,在两个路口进行试验.

①求这两种金额之和不低于20元的概率;

②若用X表示这两种金额之和,求X的分布列和数学期望.

查看答案和解析>>

科目:高中数学 来源:2016届湖北省等高三9月联考理科数学试卷(解析版) 题型:解答题

(本小题满分12分)已知函数(其中),

(Ⅰ)若命题“”是真命题,求的取值范围;

(Ⅱ)设命题;命题.若是真命题,求的取值范围.

查看答案和解析>>

科目:高中数学 来源:2016届福建省四地六校高三上学期10月联考文科数学试卷(解析版) 题型:选择题

已知平面向量=(1,-3),=(4,-2),垂直,则是( )

A.-1 B.1 C.-2 D.2

查看答案和解析>>

同步练习册答案