精英家教网 > 高中数学 > 题目详情

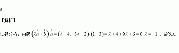
已知平面向量=(1,-3),=(4,-2),垂直,则是( )

A.-1 B.1 C.-2 D.2

练习册系列答案
相关习题

科目:高中数学 来源:2016届宁夏银川市高三上学期统练二理科数学试卷(解析版) 题型:选择题

在等差数列中,若,则=( )

A.18 B.14 C.2 D.27

查看答案和解析>>

科目:高中数学 来源:2016届黑龙江省高三第一段考理科数学试卷(解析版) 题型:选择题

设函数,则函数的各极大值之和为( )

A. B. C. D.

查看答案和解析>>

科目:高中数学 来源:2016届河北省高三上第二次月考理科数学试卷B(解析版) 题型:选择题

设函数的导函数为,对任意R都有成立,则( )

A.

B.

C.

D.的大小不确定

查看答案和解析>>

科目:高中数学 来源:2016届河北省高三上第二次月考理科数学试卷A(解析版) 题型:选择题

设函数对任意的,都有 ,若函数,则 的值是( )

A.1 B.-5或3 C. D.-2

查看答案和解析>>

科目:高中数学 来源:2016届福建省四地六校高三上学期10月联考理科数学试卷(解析版) 题型:选择题

已知是在R上的可导函数,且都有则( )

A.

B.

C.

D.

查看答案和解析>>

科目:高中数学 来源:2013-2014学年辽宁省高考前最后模拟文科数学试卷(解析版) 题型:选择题

在四边形中,,则该四边形的面积为( )

A. B. C. D.

查看答案和解析>>

科目:高中数学 来源:2016届辽宁省五校协作体高三上学期期初考试理科数学试卷(解析版) 题型:选择题

几何体的三视图如图所示,若从该几何体的实心外接球中挖去该几何体,则剩余几何体的表面积是(注:包括外表面积和内表面积)( )

A.133 B.100

C.66 D.166

查看答案和解析>>

科目:高中数学 来源:2015-2016学年西藏日喀则一中高二10月月考理科数学卷(解析版) 题型:选择题

若函数对任意的都有恒成立,则( )

A.

B.

C.

D.的大小不确定

查看答案和解析>>

同步练习册答案