精英家教网 > 高中数学 > 题目详情

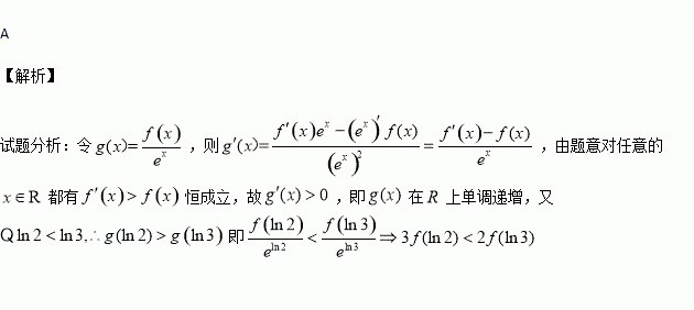
若函数对任意的都有恒成立,则( )

A.

B.

C.

D.的大小不确定

练习册系列答案
相关习题

科目:高中数学 来源:2016届福建省四地六校高三上学期10月联考文科数学试卷(解析版) 题型:选择题

已知平面向量=(1,-3),=(4,-2),垂直,则是( )

A.-1 B.1 C.-2 D.2

查看答案和解析>>

科目:高中数学 来源:2015-2016学年安徽省高一上学期第一次调研考试数学试卷(解析版) 题型:填空题

用列表法表示函数如下:

1

2

3

1

3

1

1

2

3

3

2

1

则满足的值为

查看答案和解析>>

科目:高中数学 来源:2016届河北省高三上第二次月考理科数学B卷(解析版) 题型:解答题

(本小题满分12分) 已知函数

(Ⅰ)函数处的切线方程为,求a、b的值;

(Ⅱ)当时,若曲线上存在三条斜率为k的切线,求实数k的取值范围.

查看答案和解析>>

科目:高中数学 来源:2016届河北省高三上第二次月考理科数学B卷(解析版) 题型:选择题

已知集合A=,则( )

A. B. C. D.

查看答案和解析>>

科目:高中数学 来源:2015-2016学年宁夏育才中学高二上期中考试文科数学试卷(解析版) 题型:选择题

在数列中,=1,,则的值为 ( )

A.99 B.49 C.102 D.101

查看答案和解析>>

科目:高中数学 来源:2015-2016学年湖南师大附中高二上第一次段测文科数学卷(解析版) 题型:选择题

不等式的解集是( )

A.

B.

C.

D.

查看答案和解析>>

科目:高中数学 来源:2016届江西省高三10月月考文科数学试卷(解析版) 题型:选择题

,则是“a,b,c,d依次成等差数列”的( )

A.充分不必要条件 B.必要不充分条件

C.充要条件 D.既不充分也不必要条件

查看答案和解析>>

科目:高中数学 来源:2016届黑龙江省牡丹江市高三10月月考文科数学试卷(解析版) 题型:选择题

已知,则( )

A. B. C. D.

查看答案和解析>>

同步练习册答案