精英家教网 > 高中数学 > 题目详情
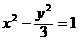
已知椭圆的标准方程为,一个过点P(2,-3)的双曲线的焦点为椭圆的长轴的端点,求双曲线的标准方程.
解:由椭圆的标准方程是
知椭圆长轴的端点为(-2,0)和(2,0),
所以,双曲线的焦点为F1(-2,0),F2(2,0),焦点在x轴上且c=2.
设双曲线的标准方程为
又双曲线过点P(2,-3),
∴4(4-a2)-9a2=a2(4-a2),
∴a4-17a2+16=0.
∴a2=1或a2=4,
又a<c,∴a2 =4舍去,
∴a2=1,
∴双曲线的标准方程为
练习册系列答案
相关习题

科目:高中数学 来源: 题型:

已知椭圆的标准方程为
x2
25
+
y2
m2
=1(m>0)
,并且焦距为6,则实数m的值为
4或
34
4或
34

查看答案和解析>>

科目:高中数学 来源: 题型:

已知椭圆的标准方程为
x2
6n-3
+
y2
2n
=1(n∈N*)
,若椭圆的焦距为2
5
,则n的取值集合为
{2,4,5}
{2,4,5}

查看答案和解析>>

科目:高中数学 来源: 题型:

(2008•奉贤区二模)已知椭圆的标准方程为
x2
4
+
y2
3
=1
,则该椭圆的焦距为
2
2

查看答案和解析>>

科目:高中数学 来源: 题型:

已知椭圆的标准方程为
x2
6-m
+
y2
m-1
=1

(1)若椭圆的焦点在x轴,求m的取值范围;          
(2)试比较m=2与m=3时两个椭圆哪个更扁.

查看答案和解析>>

科目:高中数学 来源:2013届云南省潞西市高二下学期期中文理数学试卷(解析版) 题型:选择题

已知椭圆的标准方程为,则椭圆的离心率为(       )

A、       B、      C、      D、 

 

查看答案和解析>>

同步练习册答案