精英家教网 > 高中数学 > 题目详情

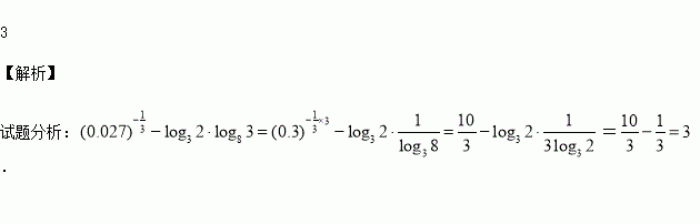
计算:_______.

练习册系列答案
相关习题

科目:高中数学 来源:2016届湖南省株洲市高三上期中理科数学试卷(解析版) 题型:选择题

已知P是△ABC内一点,+2=0,现将一粒黄豆随机投入△ABC内,则该粒黄豆落在△

PAC内的概率是( )

A、 B、 C、 D、

查看答案和解析>>

科目:高中数学 来源:2016届黑龙江省高三12月月考文科数学试卷(解析版) 题型:选择题

命题“”的否定为( )

A.

B.

C.

D.

查看答案和解析>>

科目:高中数学 来源:2015-2016学年云南省景洪市高二上学期期中考试数学试卷(解析版) 题型:解答题

在锐角△ABC中,a,b,c分别为角A,B,C所对的边,又c=,b=4,且BC边上的高h=2

(1)求角C;

(2)求边a的长

查看答案和解析>>

科目:高中数学 来源:2015-2016学年云南省景洪市高二上学期期中考试数学试卷(解析版) 题型:选择题

下图是某赛季甲、乙两名篮球运动员参加的每场比赛得分的茎叶图,则甲、乙两人这几场比赛得分的中位数之和是( )

A.65 B.64 C.63 D.62

查看答案和解析>>

科目:高中数学 来源:2016届浙江省嘉兴市高三上学期能力测试理科数学试卷(解析版) 题型:选择题

如图,分别是双曲线的左顶点、右焦点,过的直线的一条渐近线垂直且与另一条渐近线和轴分别交于两点.若,则的离心率是( )

A. B. C. D.

查看答案和解析>>

科目:高中数学 来源:2016届江西省新余市高三第四次模拟文科数学试卷(解析版) 题型:选择题

函数的图象如图所示,为了得到的图象,可将的图象( )

A.向右平移个单位 B.向右平移个单位

C.向左平移个单位 D.向左平移个单位

查看答案和解析>>

科目:高中数学 来源:2016届江苏省高三上学期期中考试数学试卷(解析版) 题型:填空题

已知为正实数,函数,且对任意的,都有,则实数的取值范围为________.

查看答案和解析>>

科目:高中数学 来源:2016届河南省郑州市高三上学期联考文科数学试卷(解析版) 题型:解答题

在△ABC中,内角的对边分别为,已知,且,角为锐角.

(1)求角的大小;

(2)若,且△ABC的面积为,求的值.

查看答案和解析>>

同步练习册答案