精英家教网 > 高中数学 > 题目详情

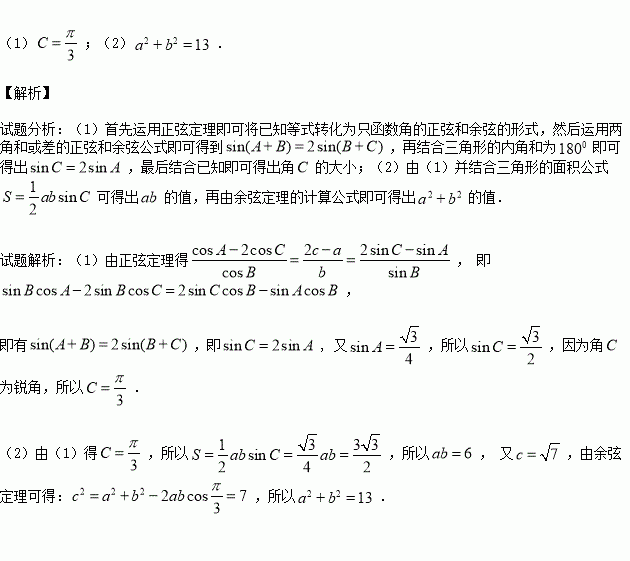
在△ABC中,内角的对边分别为,已知,且,角为锐角.

(1)求角的大小;

(2)若,且△ABC的面积为,求的值.

练习册系列答案
相关习题

科目:高中数学 来源:2016届浙江省嘉兴市高三上学期能力测试文科数学试卷(解析版) 题型:填空题

计算:_______.

查看答案和解析>>

科目:高中数学 来源:2016届湖南省高三上第三次月考理数学试卷(解析版) 题型:填空题

已知函数,若函数有6个不同的零点,则实数的取值范围是

查看答案和解析>>

科目:高中数学 来源:2016届黑龙江省高三12月月考理科数学试卷(解析版) 题型:填空题

在等式的分母上的三个括号中各填入一个正整数,使得该等式成立,则所填三个正整数的和的最小值是_________.

查看答案和解析>>

科目:高中数学 来源:2016届黑龙江省高三12月月考理科数学试卷(解析版) 题型:选择题

用数学归纳法证明不等式“(n>2)”过程中,由时,不等式的左边( )

A.增加了一项

B.增加了两项

C.增加了两项,又减少了一项

D.增加了一项,又减少了一项

查看答案和解析>>

科目:高中数学 来源:2016届河南省郑州市高三上学期联考文科数学试卷(解析版) 题型:选择题

袋中共有5个除颜色外完全相同的小球,其中1个红球,2个白球和2个黑球,从袋中任取两球,两球颜色为一白一黑的概率等于( )

A. B. C. D.

查看答案和解析>>

科目:高中数学 来源:2016届河南省郑州市高三上学期联考理科数学试卷(解析版) 题型:选择题

若实数满足不等式组的最大值为9,则实数( )

A.1 B.-1 C.2 D.-2

查看答案和解析>>

科目:高中数学 来源:2015-2016学年浙江省温州市十校联合体高一上学期期中考试数学试卷(解析版) 题型:解答题

已知是定义在上的奇函数,当时,函数的解析式为

(1)写出上的解析式;

(2)求上的最大值.

(3)对任意的都有成立,求最小的整数M的值.

查看答案和解析>>

科目:高中数学 来源:2016届河北省高三上学期四调文科数学试卷(解析版) 题型:选择题

设过曲线为自然对数的底数)上任意一点处的切线为,总存在过曲线上一点处的切线,使得,则实数的取值范围为( )

A. B. C. D.

查看答案和解析>>

同步练习册答案