精英家教网 > 高中数学 > 题目详情

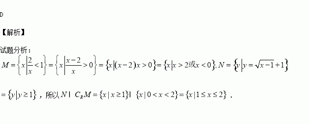
已知R是实数集,,则( )

A.(1,2) B.[0,2] C. D.[1,2]

练习册系列答案
相关习题

科目:高中数学 来源:2015-2016学年湖南衡阳八中高二上学期期中文科数学试卷(解析版) 题型:选择题

抛物线的焦点坐标是( )

A、 B、 C、 D、

查看答案和解析>>

科目:高中数学 来源:2015-2016学年吉林省扶余市高一上学期期中考试数学试卷(解析版) 题型:选择题

( )

A.6 B.5 C.4 D.3

查看答案和解析>>

科目:高中数学 来源:2016届四川省成都市高三11月段测三文科数学试卷(解析版) 题型:选择题

已知正项数列为等比数列,且a4是2a2与3a3的等差中项,若a2=2,则该数列的前5项的和为( )

A. B.31 C. D.以上都不正确

查看答案和解析>>

科目:高中数学 来源:2016届江西省高三上学期第三次考试文科数学试卷(解析版) 题型:解答题

在△ABC中,角A,B,C所对的边分别为,函数的图象关于点对称.

(Ⅰ)当时,求的值域;

(Ⅱ)若,求△ABC的面积.

查看答案和解析>>

科目:高中数学 来源:2016届江西省高三上学期第三次考试理科数学试卷(解析版) 题型:选择题

已知复数,则( )

A. B. C. D.

查看答案和解析>>

科目:高中数学 来源:2015-2016学年西藏日喀则一中高二10月月考文数学试卷(解析版) 题型:解答题

解关于的不等式

查看答案和解析>>

科目:高中数学 来源:2015-2016学年安徽师大附中高二上学期期中文科数学试卷(解析版) 题型:填空题

若椭圆经过点,且椭圆的长轴长是焦距的两倍,则

查看答案和解析>>

科目:高中数学 来源:2015-2016学年广东省清远市实验学校高二上学期期中数学试卷(解析版) 题型:选择题

若不等式的解集是,则的值为( )

A.1 B.2 C.-1 D.-2

查看答案和解析>>

同步练习册答案