精英家教网 > 高中数学 > 题目详情

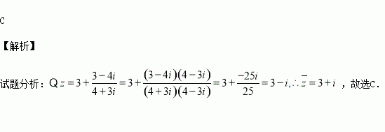
已知复数,则( )

A. B. C. D.

练习册系列答案
相关习题

科目:高中数学 来源:2015-2016学年黑龙江哈尔滨师大附中高二上期中文数学卷(解析版) 题型:选择题

一束光线从点出发,经x轴反射到圆上的最短路径是( )

A.4 B.5 C. D.

查看答案和解析>>

科目:高中数学 来源:2015-2016学年陕西省西安市高二上学期期中考试文科数学试卷(解析版) 题型:选择题

等差数列中,前n项的和为,若S13=39,那么a7=( )

A.3 B.6 C.9 D.12

查看答案和解析>>

科目:高中数学 来源:2016届四川省成都市高三11月段测三理科数学试卷(解析版) 题型:选择题

在△ABC中,三内角A,B,C的对边分别为a,b,c,面积为S,若S+a2=(b+c)2,则cosA等于( )

A. B.— C. D.—

查看答案和解析>>

科目:高中数学 来源:2016届江西省高三上学期第三次考试文科数学试卷(解析版) 题型:选择题

已知R是实数集,,则( )

A.(1,2) B.[0,2] C. D.[1,2]

查看答案和解析>>

科目:高中数学 来源:2015-2016学年浙江省高二上学期期中数学试卷(解析版) 题型:选择题

已知数列满足:,那么使成立的n的最大值为( )

A.4 B.5 C.24 D.25

查看答案和解析>>

科目:高中数学 来源:2015-2016学年江苏省高一上学期期中数学试卷(解析版) 题型:解答题

设集合U=R,

(1)求:

(2)设集合,若,求a的取值范围.

查看答案和解析>>

科目:高中数学 来源:2015-2016学年安徽师大附中高二上学期期中理科数学试卷(解析版) 题型:选择题

抛物线的焦点为,准线为是抛物线上的两个动点,且满足,设线段的中点上的投影为,则的最大值是( )

A. B. C. D.

查看答案和解析>>

科目:高中数学 来源:2015-2016学年湖南省高二上学期期中文科数学试卷(解析版) 题型:选择题

△ABC中,AB=,AC=1,∠B=30°则△ABC的面积等于( )

A. B. C. D.

查看答案和解析>>

同步练习册答案