精英家教网 > 高中数学 > 题目详情

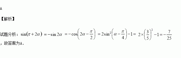
已知,则等于( )

A. B. C. D.

练习册系列答案
相关习题

科目:高中数学 来源:2016届湖北省、宜昌一中高三10月联考文科数学试卷(解析版) 题型:填空题

给出下列命题:

是幂函数;

⑵“”是“”的充分不必要条件;

的解集是

⑷ 函数的图象关于点成中心对称;

⑸ 命题“若,则”的逆否命题为真命题.

其中真命题的序号是 (写出所有正确命题的序号)

查看答案和解析>>

科目:高中数学 来源:2016届浙江宁波效实中学高三上期中考试理科数学试卷(解析版) 题型:填空题

已知为三角形的外心,,若,则的最小值为

查看答案和解析>>

科目:高中数学 来源:2016届山东省高三第二次诊断性考试理科数学试卷(解析版) 题型:解答题

(本小题满分12分)

已知函数的最小正周期为

(Ⅰ)求的值及函数的单调递增区间;

(Ⅱ)当时,求函数的取值范围.

查看答案和解析>>

科目:高中数学 来源:2016届河南省原名校高三上学期第一次联考文科数学试卷(解析版) 题型:解答题

(本小题满分12分)已知向量

(1)当时,求的值;

(2)设函数,已知在中,内角的对边分别为,若,求当时,的取值范围.

查看答案和解析>>

科目:高中数学 来源:2015-2016学年浙江省宁波市高一上期中数学试卷(解析版) 题型:选择题

,则下列不等式成立的是( )

A. B. C. D.

查看答案和解析>>

科目:高中数学 来源:2015-2016学年四川绵阳南山中学高二上期中文科数学试卷(解析版) 题型:选择题

等比数列中,,且,则等于

A.3 B. C.4 D.

查看答案和解析>>

科目:高中数学 来源:2015-2016学年湖北省高二上期中文科数学试卷(解析版) 题型:选择题

已知椭圆上有一点A,它关于原点的对称点为B,点F为椭圆的右焦点,且满足,设,且,则该椭圆的离心率e的取值范围为( )

A. B.

C. D.

查看答案和解析>>

科目:高中数学 来源:2015-2016学年广东省普宁市高一上学期期中考试数学试卷(解析版) 题型:选择题

如图所示,一个空间几何体的正视图、侧视图、俯视图为全等的等腰直角三角形,如果直角三角形的直角边长为1,那么这个几何体的体积为( )

A.1 B. C. D.

查看答案和解析>>

同步练习册答案