精英家教网 > 高中数学 > 题目详情

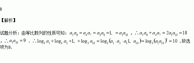
等比数列的各项为正数,且,则等于( )

A.12 B.10 C.8 D.

练习册系列答案
相关习题

科目:高中数学 来源:2015-2016学年辽宁省高一4月月考数学试卷(解析版) 题型:选择题

曲线与直线有两个交点,则的取值范围是( )

A. B. C. D.

查看答案和解析>>

科目:高中数学 来源:2015-2016学年四川彭州中学高一重点班5月月考数学试卷(解析版) 题型:解答题

的内角A、B、C所对的边分别为a、b、c,且.

(Ⅰ)求角A;

(Ⅱ)若,且的面积为,求的值.

查看答案和解析>>

科目:高中数学 来源:2015-2016学年四川彭州中学高一重点班5月月考数学试卷(解析版) 题型:选择题

设a,b,c∈R,且a>b则下列式子正确的是( )

A.ac>bc B. C.a2>b2 D.a+c>b+c

查看答案和解析>>

科目:高中数学 来源:2015-2016学年河北武邑中学高一下4.17周考数学试卷(解析版) 题型:填空题

若点在直线上,则的值等于________.

查看答案和解析>>

科目:高中数学 来源:2015-2016学年河北武邑中学高一下4.17周考数学试卷(解析版) 题型:选择题

下列函数中,既是奇函数又存在零点的函数是( )

A. B. C. D.

查看答案和解析>>

科目:高中数学 来源:2015-2016学年福建省高一下周末练数学试卷(解析版) 题型:解答题

已知的夹角为,求的夹角及(长度保留四位有效数字,角度精确到).

查看答案和解析>>

科目:高中数学 来源:2015-2016学年福建省高一下周末练数学试卷(解析版) 题型:选择题

下列命题中:①若互为负向量,则;②若为实数,且,则; ③若,则;④若为平行的向量,则;⑤若,则,其中假命题的个数为( )

A.个 B.个 C.个 D.

查看答案和解析>>

科目:高中数学 来源:2015-2016学年广东实验中学高一下期中数学试卷(解析版) 题型:选择题

设等差数列的前项和为,若,则( )

A.63 B.45 C.36 D.27

查看答案和解析>>

同步练习册答案