精英家教网 > 高中数学 > 题目详情

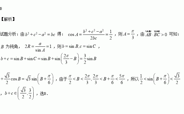
中,角所对的边分别为满足 的取值范围是( )

A. B. C. D.

练习册系列答案
相关习题

科目:高中数学 来源:2015-2016学年吉林实验中学高二上学期期中文科数学试卷(解析版) 题型:选择题

设椭圆的离心率为e=,右焦点为F(c,0),方程ax2+bx-c=0的两个实根分别为x1和x2,则点P(x1,x2)

A.必在圆x2+y2=2内 B.必在圆x2+y2=2上

C.必在圆x2+y2=2外 C.以上三种情形都有可能

查看答案和解析>>

科目:高中数学 来源:2016届黑龙江省高三12月月考文科数学试卷(解析版) 题型:选择题

等差数列中,的值是( )

A.30 B.32 C.34 D.25

查看答案和解析>>

科目:高中数学 来源:2016届浙江省嘉兴市高三上学期能力测试理科数学试卷(解析版) 题型:解答题

已知数列满足

(Ⅰ)证明:数列为单调递减数列;

(Ⅱ)记为数列的前项和,证明:

查看答案和解析>>

科目:高中数学 来源:2016届江西省新余市高三第四次模拟考理科数学试卷(解析版) 题型:解答题

选修坐标系与参数方程

已知直线为参数)经过椭圆为参数)的左焦点

(1)求的值;

(2)设直线与椭圆交于两点,求的最大值和最小值.

查看答案和解析>>

科目:高中数学 来源:2016届湖南省高三上第三次月考理数学试卷(解析版) 题型:选择题

在圆内,过点的最长弦和最短弦分别为,则四边形的面积为( )

A. B. C. D.

查看答案和解析>>

科目:高中数学 来源:2016届黑龙江省哈尔滨市高三12月月考文科数学试卷(解析版) 题型:选择题

将函数的图象上各点的横坐标伸长到原来的3倍(纵坐标不变),再向右平移

个单位,所得函数图象的一个对称中心是( )

A. B. C. D.

查看答案和解析>>

科目:高中数学 来源:2015-2016学年浙江省温州市十校联合体高一上学期期中考试数学试卷(解析版) 题型:选择题

函数的定义域是

A. B. C. D.

查看答案和解析>>

科目:高中数学 来源:2016上海复旦大学附中届高三上期中文科数学试卷(解析版) 题型:解答题

如图所示,一种医用输液瓶可以视为两个圆柱的组合体.开始输液时,滴管内匀速滴下球状液体,其中球状液体的半径毫米,滴管内液体忽略不计.

(1)如果瓶内的药液恰好分钟滴完,问每分钟应滴下多少滴?

(2)在条件(1)下,设输液开始后(单位:分钟),瓶内液面与进气管的距离为(单位:厘米),已知当时,.试将表示为的函数.(注:

查看答案和解析>>

同步练习册答案