精英家教网 > 高中数学 > 题目详情

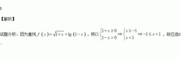
函数的定义域是

A. B. C. D.

练习册系列答案
相关习题

科目:高中数学 来源:2016届湖南省长沙市高三月考三理科数学试卷(解析版) 题型:解答题

已知中心在原点,焦点在轴上,离心率为的椭圆过点

(1)求椭圆的方程;

(2)设不过原点的直线与该椭圆交于两点,满足直线的斜率依次成等比数列,求面积的取值范围.

查看答案和解析>>

科目:高中数学 来源:2016届江西省新余市高三第四次模拟考理科数学试卷(解析版) 题型:选择题

中,角所对的边分别为满足 的取值范围是( )

A. B. C. D.

查看答案和解析>>

科目:高中数学 来源:2016届河南省郑州市高三上学期联考文科数学试卷(解析版) 题型:选择题

函数的图象与x轴的交点的横坐标构成一个公差为的等差数列,要得到函数的图象,只需将f(x)的图象( ).

A.向左平移个单位

B.向左平移个单位

C.向左平移个单位

D.向右平移个单位

查看答案和解析>>

科目:高中数学 来源:2015-2016学年青海省高二期中考试数学试卷(解析版) 题型:选择题

设正方体的棱长为,则它的外接球的表面积为( )

A. B.2π C.4π D.

查看答案和解析>>

科目:高中数学 来源:2015-2016学年江苏省沭阳县高二上学期期中考试数学试卷(解析版) 题型:解答题

已知,命题,命题

(1)若命题为真命题,求实数的取值范围;

(2)若命题为真命题,求实数的取值范围;

(3)若命题“”为真命题,且命题“”为假命题,求实数的取值范围.

查看答案和解析>>

科目:高中数学 来源:2015-2016学年江苏省沭阳县高二上学期期中考试数学试卷(解析版) 题型:填空题

下列事件是随机事件的是 (填序号).

①连续两次掷一枚硬币,两次都出现正面向上;

②异性电荷相互吸引;

③在标准大气压下,水在℃时结冰;

④任意掷一枚骰子朝上的点数是偶数.

查看答案和解析>>

科目:高中数学 来源:2015-2016学年广东省汕头市高一上学期期中考试数学试卷(解析版) 题型:选择题

下列函数是偶函数的是:( )

A. B. C. D.

查看答案和解析>>

科目:高中数学 来源:2015-2016学年吉林省高二11月月考理科数学卷(解析版) 题型:解答题

(本小题满分12分)

已知在等比数列中,,且的等差中项.

(Ⅰ)求数列的通项公式;

(Ⅱ)若数列满足,求的前项和. Ks5

查看答案和解析>>

同步练习册答案