精英家教网 > 高中数学 > 题目详情

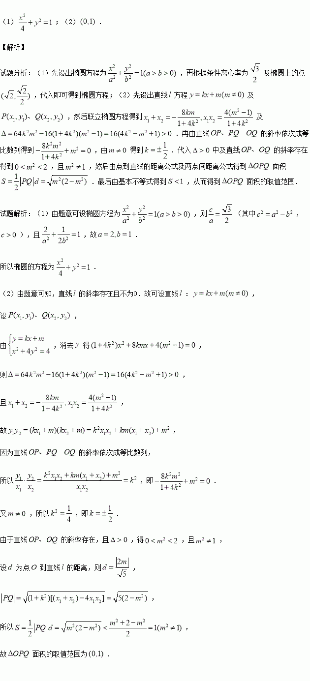
已知中心在原点,焦点在轴上,离心率为的椭圆过点

(1)求椭圆的方程;

(2)设不过原点的直线与该椭圆交于两点,满足直线的斜率依次成等比数列,求面积的取值范围.

练习册系列答案
相关习题

科目:高中数学 来源:2016届黑龙江省牡丹江市高三上学期期中理科数学试卷(解析版) 题型:选择题

已知函数的导函数,且,数列是以为公差的等差数列,

,则( )

A. B. C. D.

查看答案和解析>>

科目:高中数学 来源:2015-2016学年吉林实验中学高二上学期期中文科数学试卷(解析版) 题型:选择题

设椭圆的离心率为e=,右焦点为F(c,0),方程ax2+bx-c=0的两个实根分别为x1和x2,则点P(x1,x2)

A.必在圆x2+y2=2内 B.必在圆x2+y2=2上

C.必在圆x2+y2=2外 C.以上三种情形都有可能

查看答案和解析>>

科目:高中数学 来源:2016届江西省南昌市高三上第四次考试理科数学试卷(解析版) 题型:填空题

内有一个内接正方体,正方体的全面积为24,则球的体积是

查看答案和解析>>

科目:高中数学 来源:2016届湖南省株洲市高三上期中理科数学试卷(解析版) 题型:选择题

如图所示,程序框图的输出值( )

A、 B、 C、 D、

查看答案和解析>>

科目:高中数学 来源:2016届湖南省长沙市高三月考三理科数学试卷(解析版) 题型:选择题

用数字0,1,2,3,4,5组成没有重复数字的五位数,其中比40000大的偶数共有( )

A.144个 B.120个 C.96个 D.72个

查看答案和解析>>

科目:高中数学 来源:2016届黑龙江省高三12月月考文科数学试卷(解析版) 题型:选择题

等差数列中,的值是( )

A.30 B.32 C.34 D.25

查看答案和解析>>

科目:高中数学 来源:2016届浙江省嘉兴市高三上学期能力测试理科数学试卷(解析版) 题型:解答题

已知数列满足

(Ⅰ)证明:数列为单调递减数列;

(Ⅱ)记为数列的前项和,证明:

查看答案和解析>>

科目:高中数学 来源:2015-2016学年浙江省温州市十校联合体高一上学期期中考试数学试卷(解析版) 题型:选择题

函数的定义域是

A. B. C. D.

查看答案和解析>>

同步练习册答案