精英家教网 > 高中数学 > 题目详情

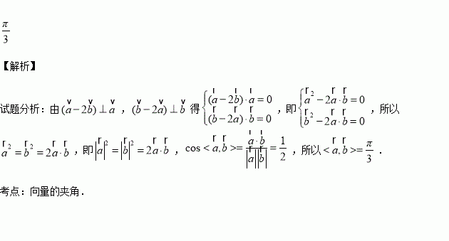
均为非零向量,且,则的夹角为

练习册系列答案
相关习题

科目:高中数学 来源:2015-2016学年浙江省温州市高二上学期期中考试数学试卷(解析版) 题型:选择题

直线的倾斜角为( )

A. B. C. D.

查看答案和解析>>

科目:高中数学 来源:2015-2016学年山东省枣庄市高二10月学情调查数学试卷(解析版) 题型:解答题

在数之间插入个实数,使得这个实数构成递增的等比数列,将这个数的乘积记作,再令

(1)求数列的通项公式;

(2)设,求数列的前项和

查看答案和解析>>

科目:高中数学 来源:2016届重庆市高三12月月考理科数学试卷(解析版) 题型:填空题

(本小题满分12分)为调查某地区老年人是否需要志愿者提供帮助,用简单随机抽样方法从该

地区调查了500位老人,结果如下面表中所示:

性别

是否需要帮助

合计

需要

50

25

75

不需要

200

225

425

合计

250

250

500

(1)请根据上表的数据,估计该地区老年人中,需要志愿者提供帮助的老年人的比例;

(2)能否在出错的概率不超过1%的前提下,认为该地老年人是否需要帮助与性别有关?并说明理由;

(3)根据(2)的结论,你能否提出更好的调查方法来估计该地区的老年人中,需要志愿者提供帮助的老

年人的比例?并说明理由.

附:独立性检验卡方统计量,其中为样本容量,独立性检验临界值表为:

0.15

0.10

0.05

0.025

0.010

0.005

0.001

2.072

2.706

3.841

5.024

6.635

7.879

10.828

查看答案和解析>>

科目:高中数学 来源:2016届辽宁省大连市高三12月月考文科数学试卷(解析版) 题型:选择题

在△ABC中,a,b,c分别为∠A,∠B,∠C的对边,且c>b>a,若向量=(a-b,1)和=(b-c,1)平行,且sin B=,当△ABC的面积为时,则b=( )

A. B.2 C.4 D.2+

查看答案和解析>>

科目:高中数学 来源:2016届河北省高三上第五次月考理科数学试卷(解析版) 题型:填空题

已知数列满足,则的最小值为

查看答案和解析>>

科目:高中数学 来源:2016届山东省枣庄市高三12月月考文科数学试卷(解析版) 题型:选择题

的内角的对边分别是,若,则( )

A.1或2 B.1 C.2 D.

查看答案和解析>>

科目:高中数学 来源:2016届甘肃省高三上第四次月考文科数学试卷(解析版) 题型:填空题

设三棱柱的侧棱垂直于底面,,且三棱柱的所有顶点都在同一球面上,则该球的表面积是

查看答案和解析>>

科目:高中数学 来源:2015-2016学年西藏日喀则一中高二12月理科数学试卷(解析版) 题型:选择题

”是“”的( )

A.充分不必要条件

B.必要不充分条件

C.充要条件

D.既不充分也不必要条件

查看答案和解析>>

同步练习册答案